State Form 53687 Indiana Junketeer Certificate of Registration Application - Indiana

Notification Icon This version of the form is not currently in use and is provided for reference only. Download this version of State Form 53687 for the current year.

State Form 53687 Indiana Junketeer Certificate of Registration Application - Indiana

What Is State Form 53687?

This is a legal form that was released by the Indiana Gaming Commission - a government authority operating within Indiana. As of today, no separate filing guidelines for the form are provided by the issuing department.

FAQ

Q: What is Form 53687?
A: Form 53687 is the Junketeer Certificate of Registration Application for Indiana.

Q: Who needs to submit Form 53687?
A: Anyone who wants to apply for a Junketeer Certificate of Registration in Indiana.

Q: What is a Junketeer Certificate of Registration?
A: A Junketeer Certificate of Registration is a permit that allows individuals or organizations to engage in junketeering activities in Indiana.

Q: What are junketeering activities?
A: Junketeering activities refer to organizing or conducting trips, tours, or junkets for profit in Indiana.

Q: What information is required on Form 53687?
A: Form 53687 typically requires information such as the applicant's personal details, business information, and details about the junketeering activities.

Q: Are there any fees associated with Form 53687?
A: Yes, there may be a fee associated with submitting Form 53687. The specific fee amount can vary, so it's best to check the instructions or contact the relevant agency for the most accurate information.

Q: Is there a deadline for submitting Form 53687?
A: The deadline for submitting Form 53687 may vary. It's important to check the instructions or contact the relevant agency to determine the specific deadline for your application.

Q: What happens after I submit Form 53687?
A: After submitting Form 53687, the relevant agency will review your application. If approved, you will receive the Junketeer Certificate of Registration. If there are any issues or additional requirements, you may be contacted for further information or clarification.

ADVERTISEMENT

Form Details:

  • Released on November 1, 2014;
  • The latest edition provided by the Indiana Gaming Commission;
  • Easy to use and ready to print;
  • Quick to customize;
  • Compatible with most PDF-viewing applications;
  • Fill out the form in our online filing application.

Download a fillable version of State Form 53687 by clicking the link below or browse more documents and templates provided by the Indiana Gaming Commission.

Download State Form 53687 Indiana Junketeer Certificate of Registration Application - Indiana

4.3 of 5 (28 votes)
  • State Form 53687 Indiana Junketeer Certificate of Registration Application - Indiana

    1

  • State Form 53687 Indiana Junketeer Certificate of Registration Application - Indiana, Page 2

    2

  • State Form 53687 Indiana Junketeer Certificate of Registration Application - Indiana, Page 3

    3

  • State Form 53687 Indiana Junketeer Certificate of Registration Application - Indiana, Page 4

    4

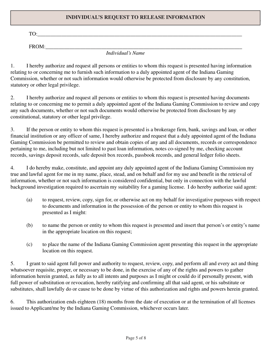
  • State Form 53687 Indiana Junketeer Certificate of Registration Application - Indiana, Page 5

    5

  • State Form 53687 Indiana Junketeer Certificate of Registration Application - Indiana, Page 6

    6

  • State Form 53687 Indiana Junketeer Certificate of Registration Application - Indiana, Page 7

    7

  • State Form 53687 Indiana Junketeer Certificate of Registration Application - Indiana, Page 8

    8

  • State Form 53687 Indiana Junketeer Certificate of Registration Application - Indiana, Page 1
  • State Form 53687 Indiana Junketeer Certificate of Registration Application - Indiana, Page 2
  • State Form 53687 Indiana Junketeer Certificate of Registration Application - Indiana, Page 3
  • State Form 53687 Indiana Junketeer Certificate of Registration Application - Indiana, Page 4
  • State Form 53687 Indiana Junketeer Certificate of Registration Application - Indiana, Page 5
  • State Form 53687 Indiana Junketeer Certificate of Registration Application - Indiana, Page 6
  • State Form 53687 Indiana Junketeer Certificate of Registration Application - Indiana, Page 7
  • State Form 53687 Indiana Junketeer Certificate of Registration Application - Indiana, Page 8
Prev 1 2 3 4 5 ... 8 Next
ADVERTISEMENT

Related Documents