Instructions for Form NHDES-W-05-004 Application for Individual Sewage Disposal System Approval - New Hampshire

Instructions for Form NHDES-W-05-004 Application for Individual Sewage Disposal System Approval - New Hampshire

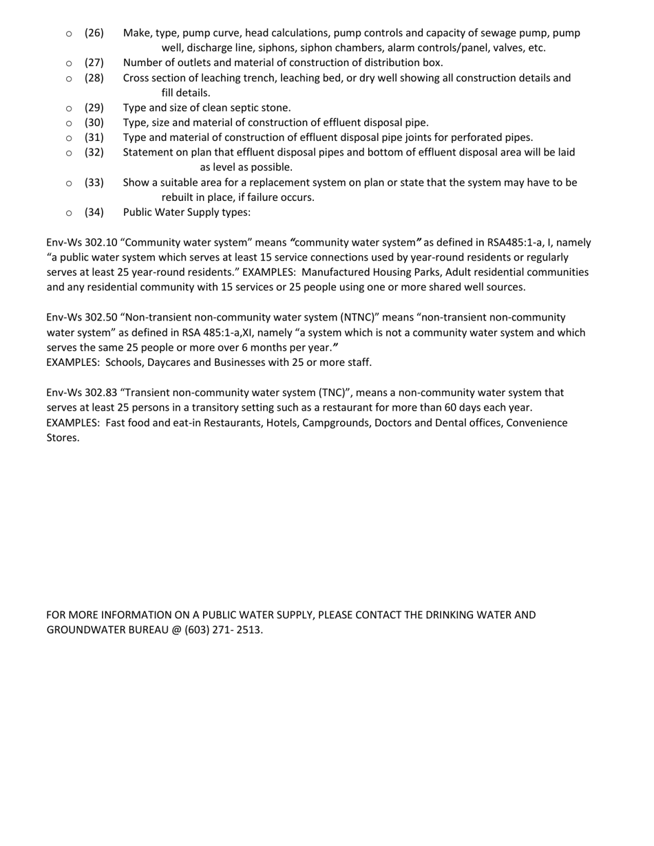
This document contains official instructions for Form NHDES-W-05-004 , Application for Individual Sewage Disposal System Approval - a form released and collected by the New Hampshire Department of Environmental Services.

FAQ

Q: What is Form NHDES-W-05-004?
A: Form NHDES-W-05-004 is an application for Individual Sewage Disposal System Approval in New Hampshire.

Q: Who needs to fill out this form?
A: This form needs to be filled out by individuals who are applying for approval of a sewage disposal system in New Hampshire.

Q: What is the purpose of this form?
A: The purpose of this form is to provide information about the proposed sewage disposal system and ensure compliance with applicable regulations.

Q: What information do I need to provide on this form?
A: You will need to provide information about the property, proposed system design, and site evaluation results.

Q: What happens after I submit this form?
A: After submitting the form, NHDES will review the application and may request additional information. Once approved, you will receive written notification.

Q: Are there any other requirements for installing a sewage disposal system in New Hampshire?
A: Yes, there are additional requirements, such as obtaining local permits and following the NHDES rules and regulations.

ADVERTISEMENT

Instruction Details:

  • This 3-page document is available for download in PDF;
  • Actual and applicable for the current year;
  • Complete, printable, and free.

Download your copy of the instructions by clicking the link below or browse hundreds of other forms in our library of forms released by the New Hampshire Department of Environmental Services.

Download Instructions for Form NHDES-W-05-004 Application for Individual Sewage Disposal System Approval - New Hampshire

4.7 of 5 (28 votes)
  • Instructions for Form NHDES-W-05-004 Application for Individual Sewage Disposal System Approval - New Hampshire

    1

  • Instructions for Form NHDES-W-05-004 Application for Individual Sewage Disposal System Approval - New Hampshire, Page 2

    2

  • Instructions for Form NHDES-W-05-004 Application for Individual Sewage Disposal System Approval - New Hampshire, Page 3

    3

  • Instructions for Form NHDES-W-05-004 Application for Individual Sewage Disposal System Approval - New Hampshire, Page 1
  • Instructions for Form NHDES-W-05-004 Application for Individual Sewage Disposal System Approval - New Hampshire, Page 2
  • Instructions for Form NHDES-W-05-004 Application for Individual Sewage Disposal System Approval - New Hampshire, Page 3
Prev 1 2 3 Next
ADVERTISEMENT

Related Documents