Form CR-1 Cremation Authorization Form - Kentucky

Form CR-1 Cremation Authorization Form - Kentucky

What Is Form CR-1?

This is a legal form that was released by the Kentucky Office of the Attorney General - a government authority operating within Kentucky. As of today, no separate filing guidelines for the form are provided by the issuing department.

FAQ

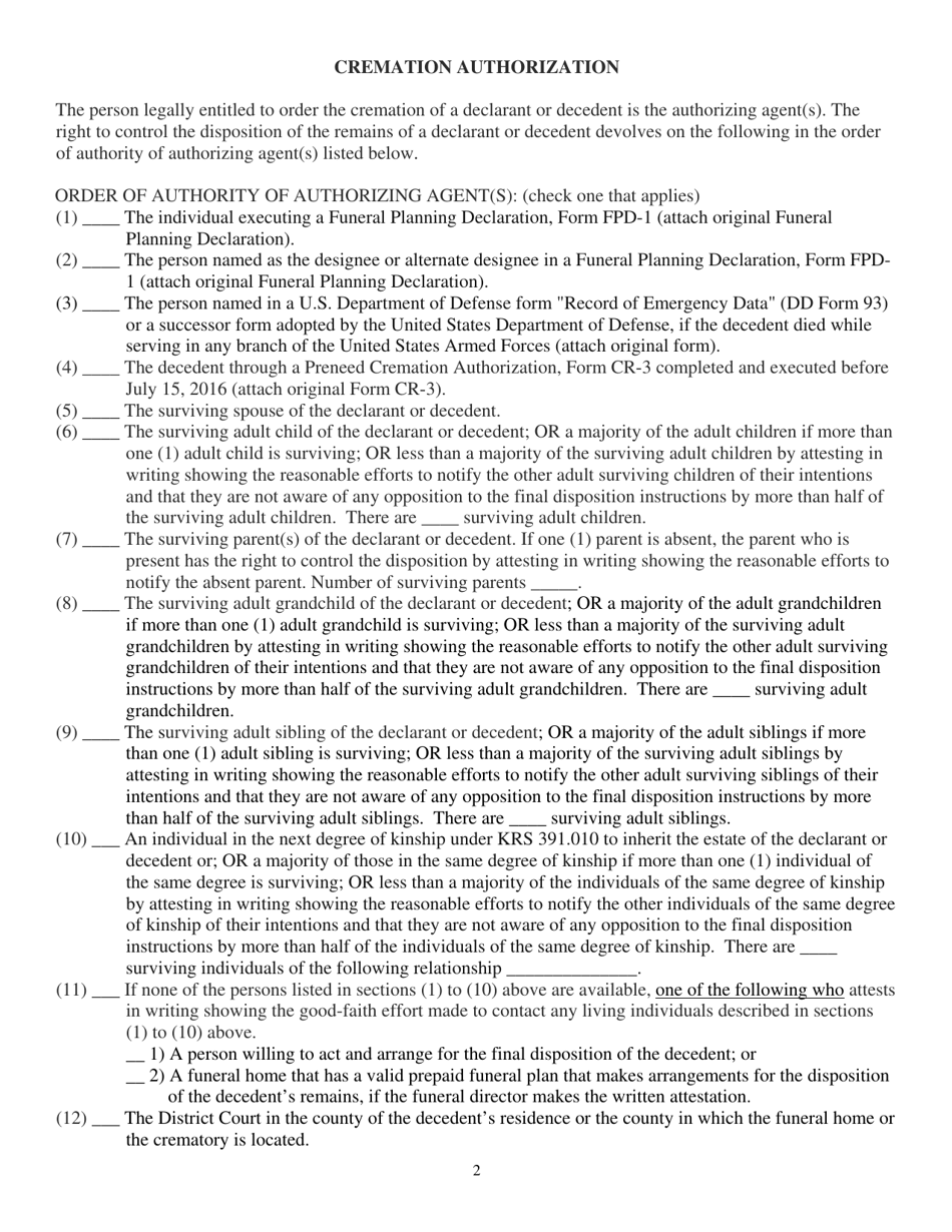
Q: What is the CR-1 Cremation Authorization Form?
A: The CR-1 Cremation Authorization Form is a document used in Kentucky to authorize the cremation of a deceased individual.

Q: Who can sign the CR-1 Cremation Authorization Form?
A: The CR-1 Cremation Authorization Form can be signed by the surviving spouse, next of kin, or a designated representative.

Q: What information is required on the CR-1 Cremation Authorization Form?
A: The CR-1 Cremation Authorization Form requires information about the deceased individual, including their name, date of birth, and date of death.

Q: Are there any fees associated with the CR-1 Cremation Authorization Form?
A: Fees for cremation services vary, but there may be a fee for completing and filing the CR-1 Cremation Authorization Form.

ADVERTISEMENT

Form Details:

  • Released on April 1, 2017;
  • The latest edition provided by the Kentucky Office of the Attorney General;
  • Easy to use and ready to print;
  • Quick to customize;
  • Compatible with most PDF-viewing applications;
  • Fill out the form in our online filing application.

Download a printable version of Form CR-1 by clicking the link below or browse more documents and templates provided by the Kentucky Office of the Attorney General.

Download Form CR-1 Cremation Authorization Form - Kentucky

4.6 of 5 (28 votes)
  • Form CR-1 Cremation Authorization Form - Kentucky

    1

  • Form CR-1 Cremation Authorization Form - Kentucky, Page 2

    2

  • Form CR-1 Cremation Authorization Form - Kentucky, Page 3

    3

  • Form CR-1 Cremation Authorization Form - Kentucky, Page 4

    4

  • Form CR-1 Cremation Authorization Form - Kentucky, Page 5

    5

  • Form CR-1 Cremation Authorization Form - Kentucky, Page 1
  • Form CR-1 Cremation Authorization Form - Kentucky, Page 2
  • Form CR-1 Cremation Authorization Form - Kentucky, Page 3
  • Form CR-1 Cremation Authorization Form - Kentucky, Page 4
  • Form CR-1 Cremation Authorization Form - Kentucky, Page 5
Prev 1 2 3 4 5 Next
ADVERTISEMENT