Engineering and Zoning Preliminary Plat Checklist - Fayette County, Georgia (United States)

Engineering and Zoning Preliminary Plat Checklist - Fayette County, Georgia (United States)

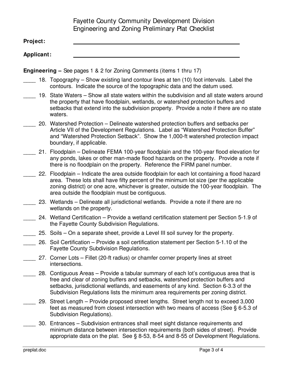
Engineering and Zoning Preliminary Plat Checklist is a legal document that was released by the Engineering Department - Fayette County, Georgia - a government authority operating within Georgia (United States). The form may be used strictly within Fayette County.

FAQ

Q: What is a preliminary plat?
A: A preliminary plat is a detailed plan of a proposed subdivision.

Q: What is the purpose of a preliminary plat?
A: The purpose of a preliminary plat is to show the proposed layout and design of the subdivision.

Q: What is zoning?
A: Zoning refers to the regulations that dictate how land can be used in a certain area.

Q: Why is zoning important?
A: Zoning is important because it helps control the use and development of land to ensure compatibility and balance in a community.

Q: What is the Engineering and Zoning Preliminary Plat Checklist?
A: The Engineering and Zoning Preliminary Plat Checklist is a document provided by Fayette County, Georgia that outlines the requirements and standards for a preliminary plat submission.

Q: What information does the checklist require for a preliminary plat?
A: The checklist typically requires information such as lot layout, road design, utilities, stormwater management, landscaping, and other engineering and zoning considerations.

Q: Why is a preliminary plat necessary?
A: A preliminary plat is necessary to ensure that a proposed subdivision meets all the necessary engineering and zoning requirements before it is approved for development.

Q: Who should use the checklist?
A: The checklist should be used by developers, engineers, and anyone involved in the process of proposing and designing a subdivision in Fayette County, Georgia.

ADVERTISEMENT

Form Details:

  • The latest edition currently provided by the Engineering Department - Fayette County, Georgia;
  • Ready to use and print;
  • Easy to customize;
  • Compatible with most PDF-viewing applications;
  • Fill out the form in our online filing application.

Download a printable version of the form by clicking the link below or browse more documents and templates provided by the Engineering Department - Fayette County, Georgia.

Download Engineering and Zoning Preliminary Plat Checklist - Fayette County, Georgia (United States)

4.6 of 5 (21 votes)
  • Engineering and Zoning Preliminary Plat Checklist - Fayette County, Georgia (United States)

    1

  • Engineering and Zoning Preliminary Plat Checklist - Fayette County, Georgia (United States), Page 2

    2

  • Engineering and Zoning Preliminary Plat Checklist - Fayette County, Georgia (United States), Page 3

    3

  • Engineering and Zoning Preliminary Plat Checklist - Fayette County, Georgia (United States), Page 4

    4

  • Engineering and Zoning Preliminary Plat Checklist - Fayette County, Georgia (United States), Page 1
  • Engineering and Zoning Preliminary Plat Checklist - Fayette County, Georgia (United States), Page 2
  • Engineering and Zoning Preliminary Plat Checklist - Fayette County, Georgia (United States), Page 3
  • Engineering and Zoning Preliminary Plat Checklist - Fayette County, Georgia (United States), Page 4
Prev 1 2 3 4 Next
ADVERTISEMENT