Certificate of Appropriateness Application - City of Peoria, Illinois

Certificate of Appropriateness Application - City of Peoria, Illinois

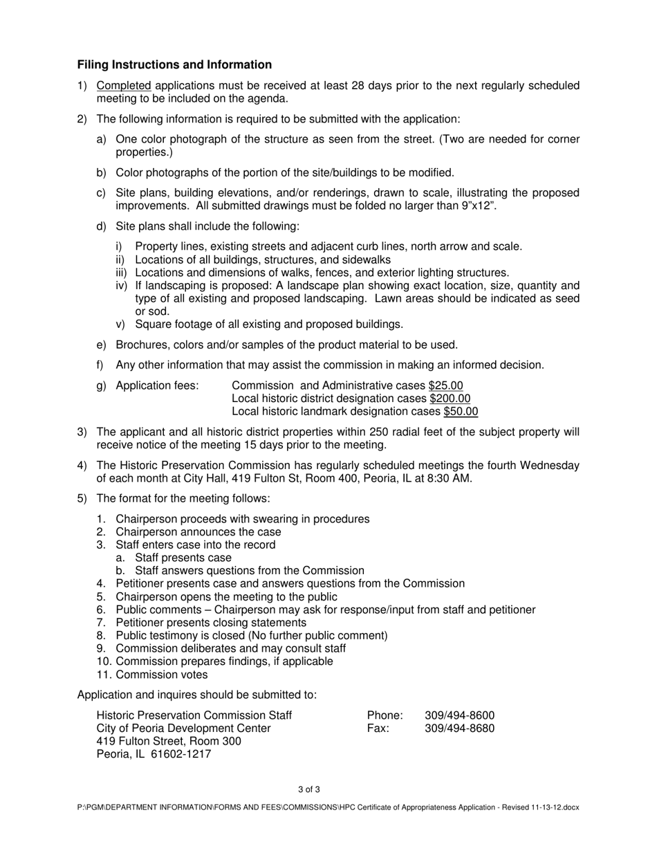
Certificate of Appropriateness Application is a legal document that was released by the Community Development Department - City of Peoria, Illinois - a government authority operating within Illinois. The form may be used strictly within City of Peoria.

FAQ

Q: What is a Certificate of Appropriateness Application?
A: A Certificate of Appropriateness Application is a document required by the City of Peoria, Illinois to obtain permission for alterations or improvements to historic buildings.

Q: Why do I need a Certificate of Appropriateness Application?
A: You need a Certificate of Appropriateness Application to ensure that any changes or renovations you plan to make to a historic building in Peoria, Illinois align with the city's preservation guidelines.

Q: What information is required in a Certificate of Appropriateness Application?
A: A Certificate of Appropriateness Application typically requires you to provide details about the proposed project, including its scope, materials, and how it will impact the historic character of the building.

Q: Are there any fees associated with the Certificate of Appropriateness Application?
A: Yes, there may be fees associated with the Certificate of Appropriateness Application. The specific fees and payment methods will be outlined by the City of Peoria's Historic Preservation Department.

Q: What happens after I submit a Certificate of Appropriateness Application?
A: After you submit a Certificate of Appropriateness Application, it will be reviewed by the City of Peoria's Historic Preservation Department, and a decision will be made regarding the approval or denial of your proposed project.

Q: Can I proceed with my project if my Certificate of Appropriateness Application is denied?
A: If your Certificate of Appropriateness Application is denied, you may need to revise your plans or seek an alternative solution that complies with the city's preservation guidelines.

Q: Are there any exemptions to the Certificate of Appropriateness Application requirement?
A: There may be certain exemptions to the Certificate of Appropriateness Application requirement, such as minor repairs or routine maintenance that do not alter the historic character of the building. It is recommended to consult with the City of Peoria's Historic Preservation Department to determine if your project qualifies for an exemption.

Q: Is it important to preserve historic buildings?
A: Yes, preserving historic buildings is important as they provide a link to the city's past and contribute to its unique character and identity. Additionally, historic buildings often hold architectural, cultural, and historical significance.

Q: What are the benefits of obtaining a Certificate of Appropriateness?
A: Obtaining a Certificate of Appropriateness allows you to proceed with your proposed alterations or improvements to a historic building in a way that respects its historic character while complying with the city's preservation guidelines.

ADVERTISEMENT

Form Details:

  • Released on November 13, 2012;
  • The latest edition currently provided by the Community Development Department - City of Peoria, Illinois;
  • Ready to use and print;
  • Easy to customize;
  • Compatible with most PDF-viewing applications;
  • Fill out the form in our online filing application.

Download a printable version of the form by clicking the link below or browse more documents and templates provided by the Community Development Department - City of Peoria, Illinois.

Download Certificate of Appropriateness Application - City of Peoria, Illinois

4.4 of 5 (13 votes)
  • Certificate of Appropriateness Application - City of Peoria, Illinois

    1

  • Certificate of Appropriateness Application - City of Peoria, Illinois, Page 2

    2

  • Certificate of Appropriateness Application - City of Peoria, Illinois, Page 3

    3

  • Certificate of Appropriateness Application - City of Peoria, Illinois, Page 1
  • Certificate of Appropriateness Application - City of Peoria, Illinois, Page 2
  • Certificate of Appropriateness Application - City of Peoria, Illinois, Page 3
Prev 1 2 3 Next
ADVERTISEMENT

Related Documents