Interrogatories / Answer to Wage Deduction Proceedings - DeKalb County, Illinois

Interrogatories / Answer to Wage Deduction Proceedings - DeKalb County, Illinois

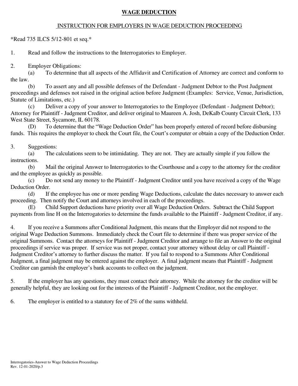
Interrogatories/Answer to Wage Deduction Proceedings is a legal document that was released by the Circuit Court - DeKalb County, Illinois - a government authority operating within Illinois. The form may be used strictly within DeKalb County.

FAQ

Q: What are Interrogatories?
A: Interrogatories are written questions that one party asks another party in a legal proceeding.

Q: What is a Wage Deduction proceeding?
A: A Wage Deduction proceeding is a legal process where a creditor seeks to have a portion of a debtor's wages withheld to satisfy a debt.

Q: What is the purpose of answering Interrogatories in a Wage Deduction proceeding?
A: The purpose of answering Interrogatories in a Wage Deduction proceeding is to provide information regarding the debtor's financial situation and ability to pay the debt.

Q: What happens if a debtor fails to properly answer Interrogatories in a Wage Deduction proceeding?
A: If a debtor fails to properly answer Interrogatories in a Wage Deduction proceeding, the court may impose penalties, such as ordering the debtor to pay the creditor's attorney fees or striking the debtor's defenses.

ADVERTISEMENT

Form Details:

  • Released on December 1, 2020;
  • The latest edition currently provided by the Circuit Court - DeKalb County, Illinois;
  • Ready to use and print;
  • Easy to customize;
  • Compatible with most PDF-viewing applications;
  • Fill out the form in our online filing application.

Download a printable version of the form by clicking the link below or browse more documents and templates provided by the Circuit Court - DeKalb County, Illinois.

Download Interrogatories / Answer to Wage Deduction Proceedings - DeKalb County, Illinois

4.4 of 5 (27 votes)
  • Interrogatories/Answer to Wage Deduction Proceedings - DeKalb County, Illinois

    1

  • Interrogatories/Answer to Wage Deduction Proceedings - DeKalb County, Illinois, Page 2

    2

  • Interrogatories/Answer to Wage Deduction Proceedings - DeKalb County, Illinois, Page 3

    3

  • Interrogatories / Answer to Wage Deduction Proceedings - DeKalb County, Illinois, Page 1
  • Interrogatories / Answer to Wage Deduction Proceedings - DeKalb County, Illinois, Page 2
  • Interrogatories / Answer to Wage Deduction Proceedings - DeKalb County, Illinois, Page 3
Prev 1 2 3 Next
ADVERTISEMENT

Related Documents