ETA Form 9058 Wotc Certification Workload and Characteristics of Certified Individual - Report 1

ETA Form 9058 Wotc Certification Workload and Characteristics of Certified Individual - Report 1

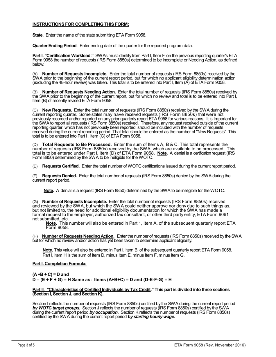
What Is ETA Form 9058?

This is a legal form that was released by the U.S. Department of Labor - Employment & Training Administration on November 1, 2016 and used country-wide. As of today, no separate filing guidelines for the form are provided by the issuing department.

FAQ

Q: What is ETA Form 9058?
A: ETA Form 9058 is a certification form.

Q: What does WOTC stand for?
A: WOTC stands for Work Opportunity Tax Credit.

Q: What is the purpose of ETA Form 9058?
A: ETA Form 9058 is used to certify an individual for the WOTC program.

Q: What is the WOTC program?
A: The WOTC program provides tax credits to employers who hire individuals from targeted groups with barriers to employment.

Q: What information is included in ETA Form 9058?
A: ETA Form 9058 includes information about the individual's work history, characteristics, and eligibility for the WOTC program.

Q: Who needs to complete ETA Form 9058?
A: Employers who are participating in the WOTC program and have hired individuals from targeted groups need to complete ETA Form 9058.

Q: What are the targeted groups under the WOTC program?
A: The targeted groups under the WOTC program include individuals who are recipients of Temporary Assistance for Needy Families (TANF), ex-felons, veterans, and others.

Q: How does the WOTC program benefit employers?
A: The WOTC program provides employers with tax credits, which can help reduce their tax liability.

Q: Is ETA Form 9058 mandatory?
A: Yes, ETA Form 9058 is mandatory for employers participating in the WOTC program.

ADVERTISEMENT

Form Details:

  • Released on November 1, 2016;
  • The latest available edition released by the U.S. Department of Labor - Employment & Training Administration;
  • Easy to use and ready to print;
  • Yours to fill out and keep for your records;
  • Compatible with most PDF-viewing applications;
  • Fill out the form in our online filing application.

Download a fillable version of ETA Form 9058 by clicking the link below or browse more documents and templates provided by the U.S. Department of Labor - Employment & Training Administration.

Download ETA Form 9058 Wotc Certification Workload and Characteristics of Certified Individual - Report 1

4.4 of 5 (24 votes)
  • ETA Form 9058 Wotc Certification Workload and Characteristics of Certified Individual - Report 1

    1

  • ETA Form 9058 Wotc Certification Workload and Characteristics of Certified Individual - Report 1, Page 2

    2

  • ETA Form 9058 Wotc Certification Workload and Characteristics of Certified Individual - Report 1, Page 3

    3

  • ETA Form 9058 Wotc Certification Workload and Characteristics of Certified Individual - Report 1, Page 4

    4

  • ETA Form 9058 Wotc Certification Workload and Characteristics of Certified Individual - Report 1, Page 5

    5

  • ETA Form 9058 Wotc Certification Workload and Characteristics of Certified Individual - Report 1, Page 1
  • ETA Form 9058 Wotc Certification Workload and Characteristics of Certified Individual - Report 1, Page 2
  • ETA Form 9058 Wotc Certification Workload and Characteristics of Certified Individual - Report 1, Page 3
  • ETA Form 9058 Wotc Certification Workload and Characteristics of Certified Individual - Report 1, Page 4
  • ETA Form 9058 Wotc Certification Workload and Characteristics of Certified Individual - Report 1, Page 5
Prev 1 2 3 4 5 Next
ADVERTISEMENT