Form DHS1178 Preadmission Screening Resident Review (Pas / Rr) - Level I Screen - Hawaii

Form DHS1178 Preadmission Screening Resident Review (Pas / Rr) - Level I Screen - Hawaii

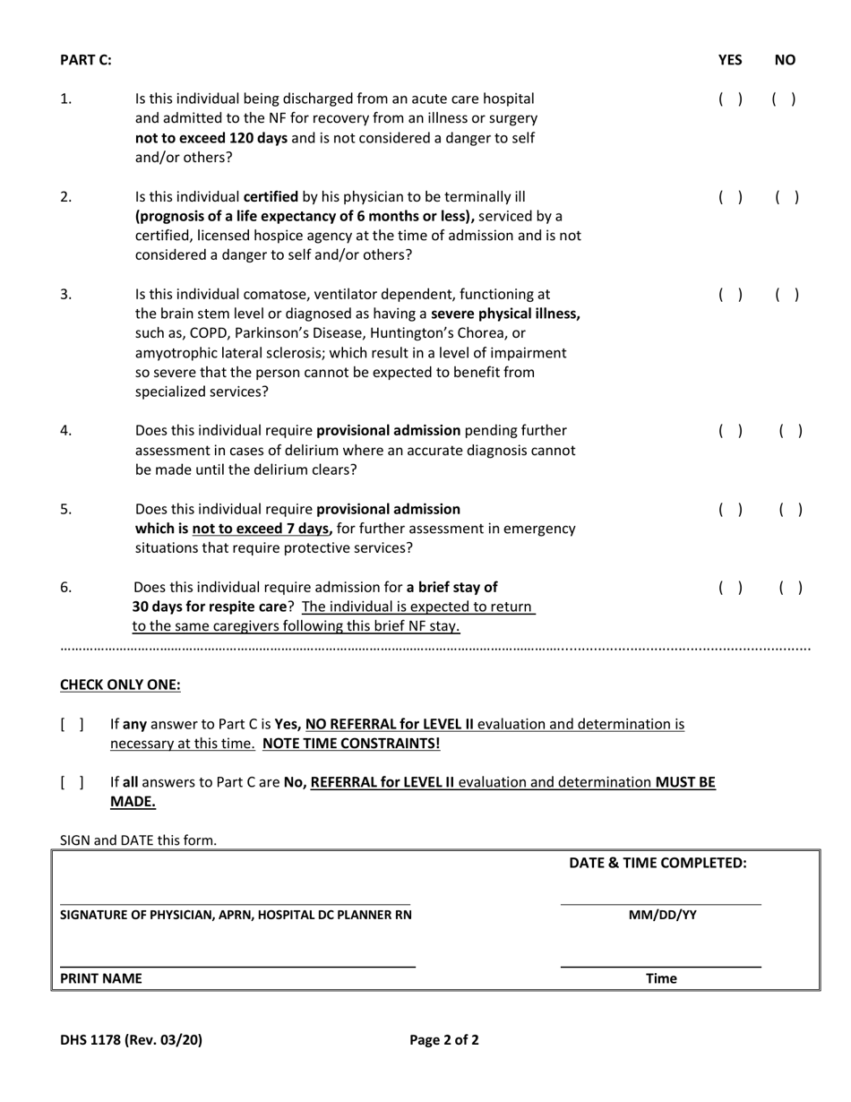
What Is Form DHS1178?

This is a legal form that was released by the Hawaii Department of Human Services - a government authority operating within Hawaii. As of today, no separate filing guidelines for the form are provided by the issuing department.

FAQ

Q: What is the DHS1178 Preadmission Screening Resident Review (Pas/Rr) - Level I Screen?
A: The DHS1178 Preadmission Screening Resident Review (Pas/Rr) - Level I Screen is a form used for preadmission screening and resident review in Hawaii.

Q: What is the purpose of the DHS1178 form?
A: The purpose of the DHS1178 form is to assess the needs and eligibility of individuals seeking admission to a long-term care facility in Hawaii.

Q: Who uses the DHS1178 form?
A: The DHS1178 form is used by healthcare professionals and facilities conducting preadmission screenings and resident reviews.

Q: What information is included in the Level I Screen?
A: The Level I Screen includes demographic information, medical history, physical examination findings, cognitive impairment assessment, and determinations on the individual's need for nursing facility level of care.

Q: Is the DHS1178 form mandatory?
A: Yes, the DHS1178 form is mandatory for individuals seeking admission to long-term care facilities in Hawaii.

ADVERTISEMENT

Form Details:

  • Released on March 1, 2020;
  • The latest edition provided by the Hawaii Department of Human Services;
  • Easy to use and ready to print;
  • Quick to customize;
  • Compatible with most PDF-viewing applications;
  • Fill out the form in our online filing application.

Download a printable version of Form DHS1178 by clicking the link below or browse more documents and templates provided by the Hawaii Department of Human Services.

Download Form DHS1178 Preadmission Screening Resident Review (Pas / Rr) - Level I Screen - Hawaii

4.3 of 5 (17 votes)
  • Form DHS1178 Preadmission Screening Resident Review (Pas/Rr) - Level I Screen - Hawaii

    1

  • Form DHS1178 Preadmission Screening Resident Review (Pas/Rr) - Level I Screen - Hawaii, Page 2

    2

  • Form DHS1178 Preadmission Screening Resident Review (Pas / Rr) - Level I Screen - Hawaii, Page 1
  • Form DHS1178 Preadmission Screening Resident Review (Pas / Rr) - Level I Screen - Hawaii, Page 2
Prev 1 2 Next
ADVERTISEMENT