CBP Form 6478 Application for CBP Approved Gaugers and Accredited Laboratories

Notification Icon This version of the form is not currently in use and is provided for reference only. Download this version of CBP Form 6478 for the current year.

CBP Form 6478 Application for CBP Approved Gaugers and Accredited Laboratories

What Is CBP Form 6478?

This is a legal form that was released by the U.S. Department of Homeland Security - Customs and Border Protection on May 1, 2022 and used country-wide. As of today, no separate filing guidelines for the form are provided by the issuing department.

FAQ

Q: What is CBP Form 6478?
A: CBP Form 6478 is the Application for CBP Approved Gaugers and Accredited Laboratories.

Q: What is the purpose of CBP Form 6478?
A: The purpose of CBP Form 6478 is to apply for CBP-approved gaugers and accredited laboratories.

Q: Who needs to fill out CBP Form 6478?
A: Individuals or entities seeking CBP approval as gaugers or accreditation as laboratories need to fill out CBP Form 6478.

Q: Is there a fee for submitting CBP Form 6478?
A: Yes, there is a fee associated with the submission of CBP Form 6478. The fee amount can be found on the form's instructions.

Q: What information is required on CBP Form 6478?
A: CBP Form 6478 requires information about the applicant, the type of service being requested, and supporting documentation.

Q: How long does it take to process CBP Form 6478?
A: The processing time for CBP Form 6478 may vary. It is recommended to submit the form well in advance to allow for sufficient processing time.

Q: Can I submit CBP Form 6478 electronically?
A: Yes, CBP Form 6478 can be submitted electronically through the Automated Commercial Environment (ACE) portal.

Q: What should I do after submitting CBP Form 6478?
A: After submitting CBP Form 6478, you should await a response from CBP regarding the approval or accreditation status.

ADVERTISEMENT

Form Details:

  • Released on May 1, 2022;
  • The latest available edition released by the U.S. Department of Homeland Security - Customs and Border Protection;
  • Easy to use and ready to print;
  • Yours to fill out and keep for your records;
  • Compatible with most PDF-viewing applications;
  • Fill out the form in our online filing application.

Download a fillable version of CBP Form 6478 by clicking the link below or browse more documents and templates provided by the U.S. Department of Homeland Security - Customs and Border Protection.

Download CBP Form 6478 Application for CBP Approved Gaugers and Accredited Laboratories

4.6 of 5 (22 votes)
  • CBP Form 6478 Application for CBP Approved Gaugers and Accredited Laboratories

    1

  • CBP Form 6478 Application for CBP Approved Gaugers and Accredited Laboratories, Page 2

    2

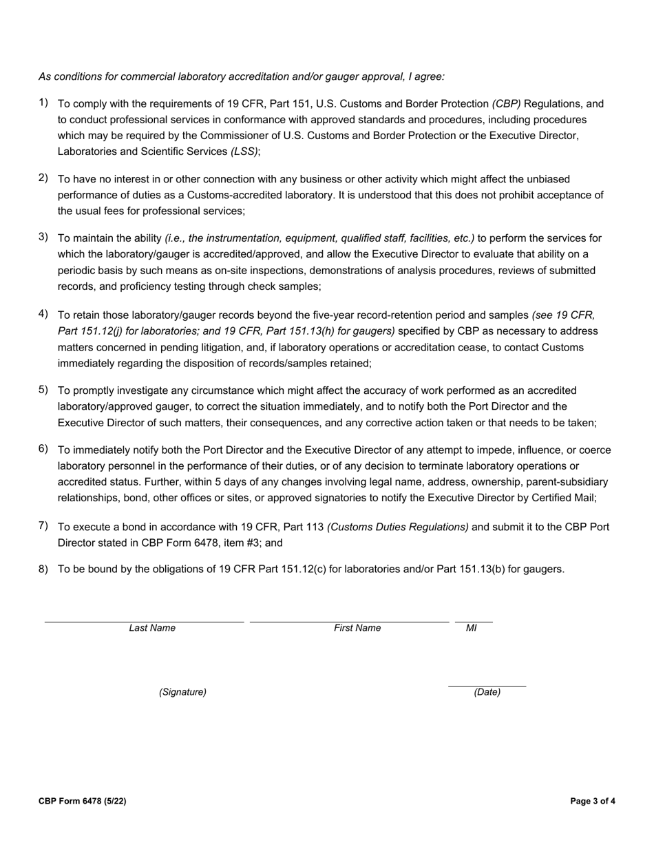
  • CBP Form 6478 Application for CBP Approved Gaugers and Accredited Laboratories, Page 3

    3

  • CBP Form 6478 Application for CBP Approved Gaugers and Accredited Laboratories, Page 4

    4

  • CBP Form 6478 Application for CBP Approved Gaugers and Accredited Laboratories, Page 1
  • CBP Form 6478 Application for CBP Approved Gaugers and Accredited Laboratories, Page 2
  • CBP Form 6478 Application for CBP Approved Gaugers and Accredited Laboratories, Page 3
  • CBP Form 6478 Application for CBP Approved Gaugers and Accredited Laboratories, Page 4
Prev 1 2 3 4 Next
ADVERTISEMENT