Modified Berthel Index (Shah Version) - Self Care Assessment Form

Modified Berthel Index (Shah Version) - Self Care Assessment Form

What Is the Barthel Index Used For?

The Barthel index scale is a simple and convenient tool used to evaluate self-care abilities and everyday activities of an individual. First presented in 1965, the Barthel index was evaluated using a score of 0 to 100 and replaced the old 20-score system as less accurate and effective. This 100-score evaluation system still remains in use.

The printable assessment form available below is a handy four-page template that consists of a table for self-care assessment and two tables for interpretation of the obtained results. The evaluation table is divided into eleven categories: chair/bed transfers, ambulation, ambulation/wheelchair, stair climbing, toilet transfers, bowel control, bladder control, bathing, dressing, personal hygiene, and feeding. Each category contains explanations regarding the evaluation of the patient's performance and the number of points to assign in each case. The number of points is based on the amount of time and assistance the patient needs in order to accomplish a specific everyday task.

Sufficient explanations provided on every page of the form make the spreadsheet comprehensive and easy to use. The assessment takes about 5 to 10 minutes and does not require any special training or equipment. Basically, anyone who knows the patient well can perform this test. Patients can do a self-evaluation, however, self-evaluation is not recommended for patients 75 and older.

ADVERTISEMENT

What Does the Modified Barthel Index Measure?

The Barthel Index of Activities of Daily Living measures the level of the individual's ability to perform activities required for normal everyday life. The Barthel index self-care assessment is used by many as a precise and reliable instrument to check whether the patient is able to take care of their basic needs.

Oftentimes, the document is used to evaluate the condition of a patient recovering after the stroke, or it may be a patient suffering from musculoskeletal or neuromuscular disorders. It is widely employed among oncology patients and elderly individuals. The results of the measurement show whether the patient can be discharged from the hospital to continue their recovery at home.

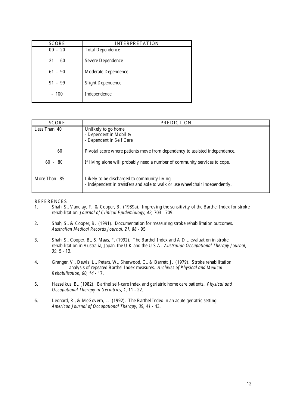
In general, the modified index is applied to define what activities of daily living patients can perform by themselves and areas they need help with. The Barthel index score interpretation helps to determine the patient's degree of independence and establish what kind of help the examined patient requires.

Download Modified Berthel Index (Shah Version) - Self Care Assessment Form

4.6 of 5 (25 votes)
  • Modified Berthel Index (Shah Version) - Self Care Assessment Form

    1

  • Modified Berthel Index (Shah Version) - Self Care Assessment Form, Page 2

    2

  • Modified Berthel Index (Shah Version) - Self Care Assessment Form, Page 3

    3

  • Modified Berthel Index (Shah Version) - Self Care Assessment Form, Page 4

    4

  • Modified Berthel Index (Shah Version) - Self Care Assessment Form, Page 1
  • Modified Berthel Index (Shah Version) - Self Care Assessment Form, Page 2
  • Modified Berthel Index (Shah Version) - Self Care Assessment Form, Page 3
  • Modified Berthel Index (Shah Version) - Self Care Assessment Form, Page 4
Prev 1 2 3 4 Next
ADVERTISEMENT