Form 3 (State Form 46782) Personal Disclosure Form - Indiana

Notification Icon This version of the form is not currently in use and is provided for reference only. Download this version of Form 3 (State Form 46782) for the current year.

Form 3 (State Form 46782) Personal Disclosure Form - Indiana

What Is Form 3 (State Form 46782)?

This is a legal form that was released by the Indiana Gaming Commission - a government authority operating within Indiana. As of today, no separate filing guidelines for the form are provided by the issuing department.

FAQ

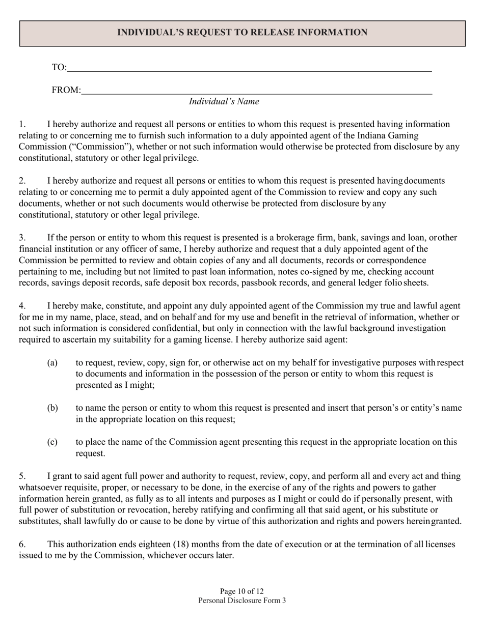
Q: What is form 3 or State Form 46782?
A: Form 3 or State Form 46782 is the Personal Disclosure Form used in Indiana.

Q: Who needs to fill out Form 3?
A: Anyone in Indiana who is required to disclose their personal information may need to fill out Form 3.

Q: What information is required on Form 3?
A: Form 3 typically requires the individual's personal information such as name, address, and employment history.

Q: Why is Form 3 filled out?
A: Form 3 is filled out to ensure transparency and disclosure of personal information, particularly for individuals in certain positions or roles.

Q: Is filling out Form 3 mandatory?
A: Yes, if you are required to disclose personal information in Indiana, filling out Form 3 is usually mandatory.

ADVERTISEMENT

Form Details:

  • Released on April 1, 2022;
  • The latest edition provided by the Indiana Gaming Commission;
  • Easy to use and ready to print;
  • Quick to customize;
  • Compatible with most PDF-viewing applications;
  • Fill out the form in our online filing application.

Download a fillable version of Form 3 (State Form 46782) by clicking the link below or browse more documents and templates provided by the Indiana Gaming Commission.

Download Form 3 (State Form 46782) Personal Disclosure Form - Indiana

4.4 of 5 (11 votes)
  • Form 3 (State Form 46782) Personal Disclosure Form - Indiana

    1

  • Form 3 (State Form 46782) Personal Disclosure Form - Indiana, Page 2

    2

  • Form 3 (State Form 46782) Personal Disclosure Form - Indiana, Page 3

    3

  • Form 3 (State Form 46782) Personal Disclosure Form - Indiana, Page 4

    4

  • Form 3 (State Form 46782) Personal Disclosure Form - Indiana, Page 5

    5

  • Form 3 (State Form 46782) Personal Disclosure Form - Indiana, Page 6

    6

  • Form 3 (State Form 46782) Personal Disclosure Form - Indiana, Page 7

    7

  • Form 3 (State Form 46782) Personal Disclosure Form - Indiana, Page 8

    8

  • Form 3 (State Form 46782) Personal Disclosure Form - Indiana, Page 9

    9

  • Form 3 (State Form 46782) Personal Disclosure Form - Indiana, Page 10

    10

  • Form 3 (State Form 46782) Personal Disclosure Form - Indiana, Page 11

    11

  • Form 3 (State Form 46782) Personal Disclosure Form - Indiana, Page 12

    12

  • Form 3 (State Form 46782) Personal Disclosure Form - Indiana, Page 1
  • Form 3 (State Form 46782) Personal Disclosure Form - Indiana, Page 2
  • Form 3 (State Form 46782) Personal Disclosure Form - Indiana, Page 3
  • Form 3 (State Form 46782) Personal Disclosure Form - Indiana, Page 4
  • Form 3 (State Form 46782) Personal Disclosure Form - Indiana, Page 5
  • Form 3 (State Form 46782) Personal Disclosure Form - Indiana, Page 6
  • Form 3 (State Form 46782) Personal Disclosure Form - Indiana, Page 7
  • Form 3 (State Form 46782) Personal Disclosure Form - Indiana, Page 8
  • Form 3 (State Form 46782) Personal Disclosure Form - Indiana, Page 9
  • Form 3 (State Form 46782) Personal Disclosure Form - Indiana, Page 10
  • Form 3 (State Form 46782) Personal Disclosure Form - Indiana, Page 11
  • Form 3 (State Form 46782) Personal Disclosure Form - Indiana, Page 12
Prev 1 2 3 4 5 ... 12 Next
ADVERTISEMENT