State Form 53920 Late Notification of Transfers of Ownership Request for Npdes Permit - Indiana

State Form 53920 Late Notification of Transfers of Ownership Request for Npdes Permit - Indiana

What Is State Form 53920?

This is a legal form that was released by the Indiana Department of Environmental Management - a government authority operating within Indiana. As of today, no separate filing guidelines for the form are provided by the issuing department.

FAQ

Q: What is State Form 53920?
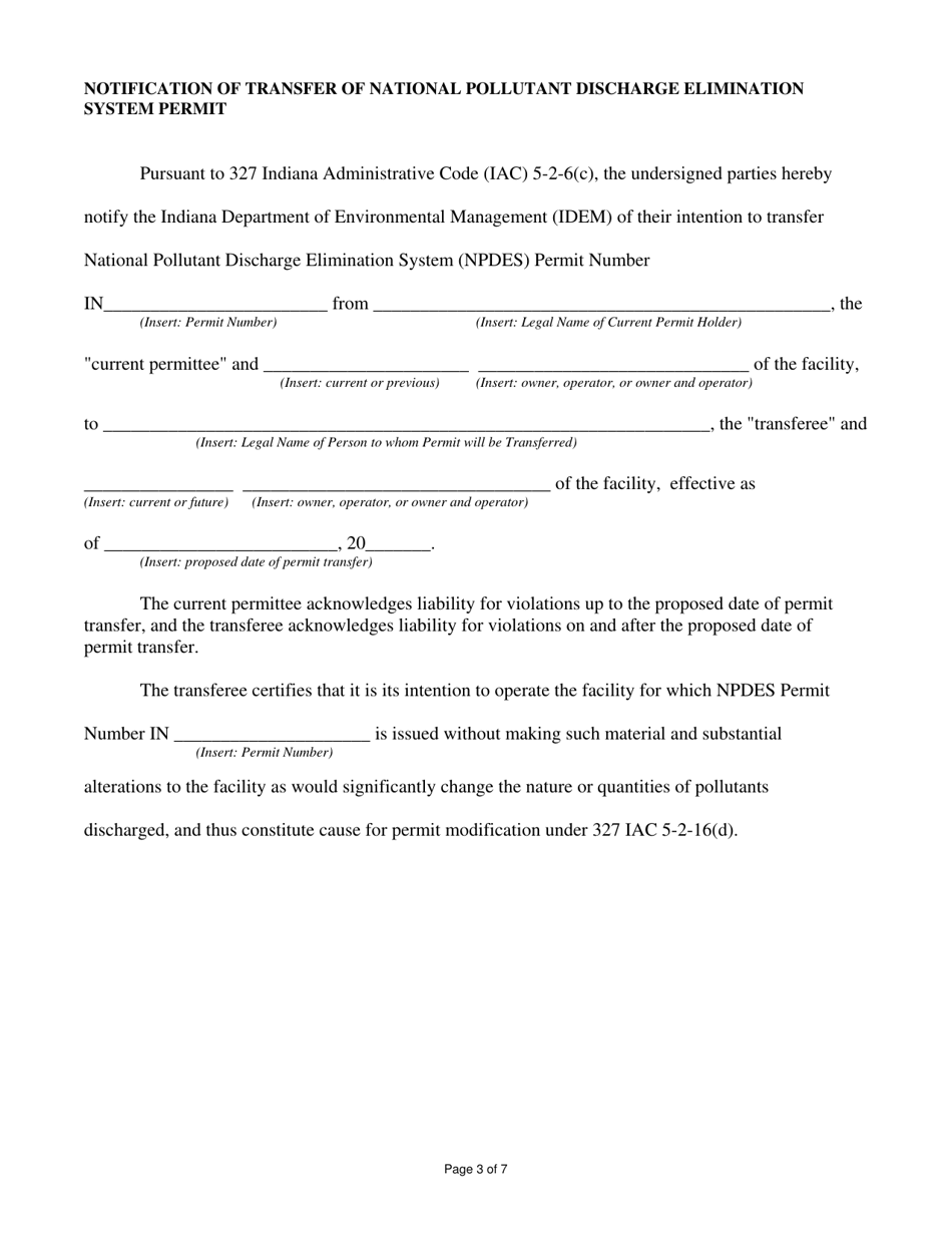
A: State Form 53920 is a Late Notification of Transfers of Ownership Request for NPDES Permit form.

Q: What is NPDES Permit?
A: NPDES stands for National Pollutant Discharge Elimination System, and it is a permitting program that regulates point sources that discharge pollutants into waters of the United States.

Q: When should I use State Form 53920?
A: You should use State Form 53920 if you need to submit a late notification of transfers of ownership request for an NPDES permit in Indiana.

ADVERTISEMENT

Form Details:

  • Released on January 1, 2009;
  • The latest edition provided by the Indiana Department of Environmental Management;
  • Easy to use and ready to print;
  • Quick to customize;
  • Compatible with most PDF-viewing applications;
  • Fill out the form in our online filing application.

Download a fillable version of State Form 53920 by clicking the link below or browse more documents and templates provided by the Indiana Department of Environmental Management.

Download State Form 53920 Late Notification of Transfers of Ownership Request for Npdes Permit - Indiana

4.3 of 5 (17 votes)
  • State Form 53920 Late Notification of Transfers of Ownership Request for Npdes Permit - Indiana

    1

  • State Form 53920 Late Notification of Transfers of Ownership Request for Npdes Permit - Indiana, Page 2

    2

  • State Form 53920 Late Notification of Transfers of Ownership Request for Npdes Permit - Indiana, Page 3

    3

  • State Form 53920 Late Notification of Transfers of Ownership Request for Npdes Permit - Indiana, Page 4

    4

  • State Form 53920 Late Notification of Transfers of Ownership Request for Npdes Permit - Indiana, Page 5

    5

  • State Form 53920 Late Notification of Transfers of Ownership Request for Npdes Permit - Indiana, Page 6

    6

  • State Form 53920 Late Notification of Transfers of Ownership Request for Npdes Permit - Indiana, Page 7

    7

  • State Form 53920 Late Notification of Transfers of Ownership Request for Npdes Permit - Indiana, Page 1
  • State Form 53920 Late Notification of Transfers of Ownership Request for Npdes Permit - Indiana, Page 2
  • State Form 53920 Late Notification of Transfers of Ownership Request for Npdes Permit - Indiana, Page 3
  • State Form 53920 Late Notification of Transfers of Ownership Request for Npdes Permit - Indiana, Page 4
  • State Form 53920 Late Notification of Transfers of Ownership Request for Npdes Permit - Indiana, Page 5
  • State Form 53920 Late Notification of Transfers of Ownership Request for Npdes Permit - Indiana, Page 6
  • State Form 53920 Late Notification of Transfers of Ownership Request for Npdes Permit - Indiana, Page 7
Prev 1 2 3 4 5 ... 7 Next
ADVERTISEMENT