Suspect Rabies Information Form - New Hampshire

Suspect Rabies Information Form - New Hampshire

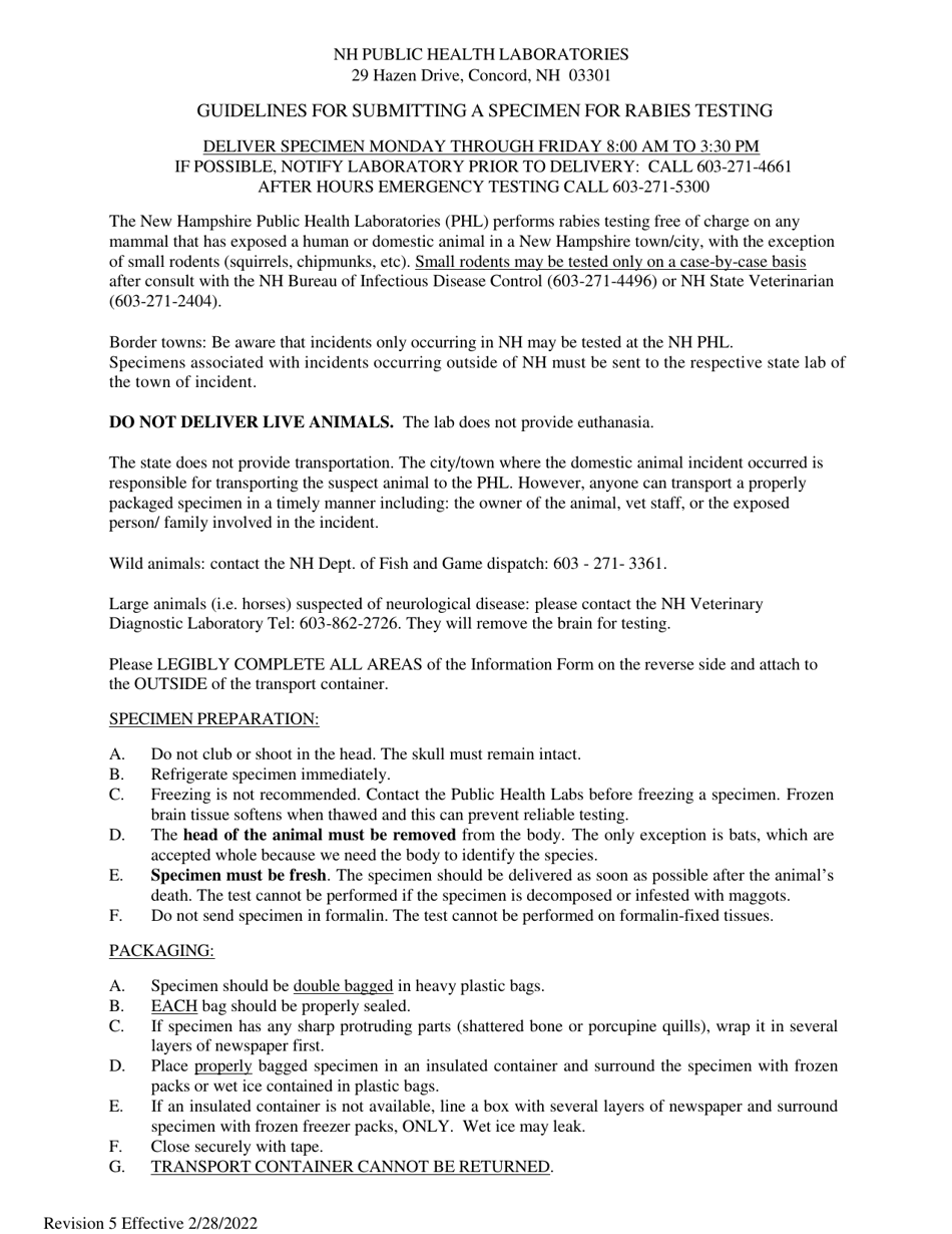
Suspect Rabies Information Form is a legal document that was released by the New Hampshire Department of Health and Human Services - a government authority operating within New Hampshire.

FAQ

Q: What is the Suspect Rabies Information Form?
A: The Suspect Rabies Information Form is a document used in New Hampshire to report potential cases of rabies.

Q: Why is the form important?
A: The form is important because it helps authorities track and investigate potential cases of rabies, which is a serious and potentially deadly disease.

Q: Who should fill out the form?
A: The form should be filled out by individuals who suspect that an animal may have rabies.

Q: What information is required on the form?
A: The form asks for details about the animal, including species, location, behavior, and any potential exposure to humans or other animals.

Q: What should I do if I suspect an animal has rabies?
A: If you suspect an animal has rabies, you should immediately contact your local animal control or wildlife agency and fill out the Suspect Rabies Information Form.

Q: Are there any specific instructions on handling animals suspected of having rabies?
A: Yes, it is important to avoid direct contact with the animal and to keep pets and other people away from it to prevent potential exposure to the rabies virus.

Q: Is rabies common in New Hampshire?
A: Rabies is relatively rare in New Hampshire, but it is still important to report any suspected cases to protect public health and safety.

Q: What happens after I submit the Suspect Rabies Information Form?
A: After you submit the form, authorities will review the information and take appropriate action, which may include investigating the animal, testing for rabies, or providing guidance on how to handle the situation.

ADVERTISEMENT

Form Details:

  • Released on February 28, 2022;
  • The latest edition currently provided by the New Hampshire Department of Health and Human Services;
  • Ready to use and print;
  • Easy to customize;
  • Compatible with most PDF-viewing applications;
  • Fill out the form in our online filing application.

Download a printable version of the form by clicking the link below or browse more documents and templates provided by the New Hampshire Department of Health and Human Services.

Download Suspect Rabies Information Form - New Hampshire

4.5 of 5 (25 votes)
  • Suspect Rabies Information Form - New Hampshire

    1

  • Suspect Rabies Information Form - New Hampshire, Page 2

    2

  • Suspect Rabies Information Form - New Hampshire, Page 3

    3

  • Suspect Rabies Information Form - New Hampshire, Page 1
  • Suspect Rabies Information Form - New Hampshire, Page 2
  • Suspect Rabies Information Form - New Hampshire, Page 3
Prev 1 2 3 Next
ADVERTISEMENT