Caregiver Application for the Therapeutic Use of Cannabis - New Hampshire

Caregiver Application for the Therapeutic Use of Cannabis - New Hampshire

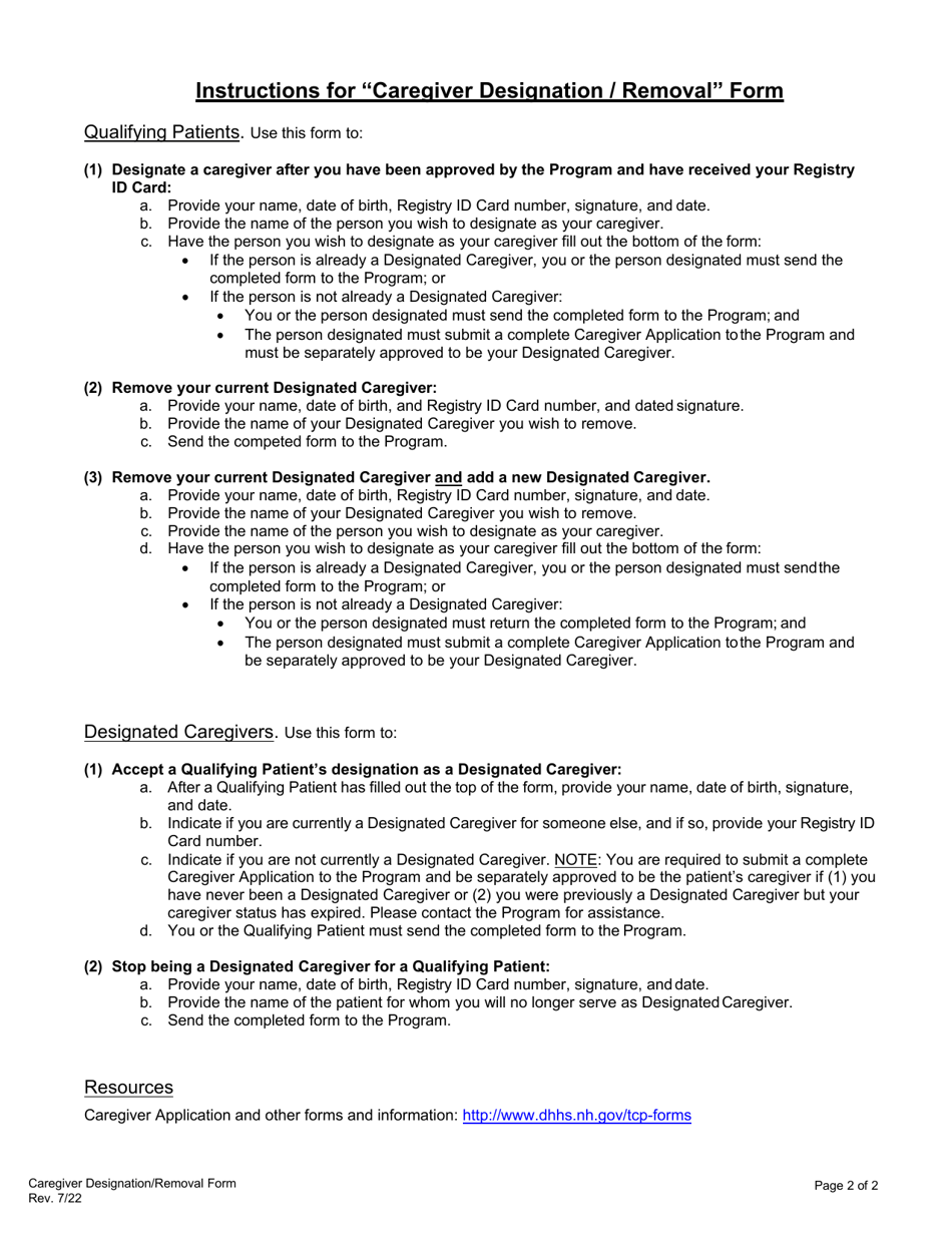
Caregiver Application for the Therapeutic Use of Cannabis is a legal document that was released by the New Hampshire Department of Health and Human Services - a government authority operating within New Hampshire.

FAQ

Q: What is the Caregiver Application for the Therapeutic Use of Cannabis in New Hampshire?
A: The Caregiver Application for the Therapeutic Use of Cannabis in New Hampshire is a process for individuals who want to become a caregiver for medical cannabis patients.

Q: Who is eligible to apply for the Caregiver Application in New Hampshire?
A: To be eligible, you must be at least 21 years old, a New Hampshire resident, and have no felony convictions.

Q: What are the requirements for becoming a caregiver in New Hampshire?
A: To become a caregiver, you must complete the application, pass a criminal background check, complete a training program, and pay the required fees.

Q: What is the purpose of the Caregiver Application?
A: The purpose of the Caregiver Application is to ensure that qualified individuals are able to assist medical cannabis patients with obtaining and using their medication.

Q: What are the responsibilities of a caregiver in New Hampshire?
A: Caregivers are responsible for assisting patients in obtaining and using medical cannabis, providing transportation, and maintaining records of the patient's medical cannabis use.

Q: Can a caregiver grow cannabis plants for a patient in New Hampshire?
A: Yes, a caregiver can apply for a cultivation authorization to grow cannabis plants for a registered patient.

Q: Can a caregiver serve multiple patients in New Hampshire?
A: Yes, a caregiver can serve up to five registered patients at a time in New Hampshire.

Q: How long is the Caregiver Application process in New Hampshire?
A: The application process can take up to 90 days.

Q: What is the fee for the Caregiver Application in New Hampshire?
A: The fee for the Caregiver Application is $100.

ADVERTISEMENT

Form Details:

  • Released on July 1, 2022;
  • The latest edition currently provided by the New Hampshire Department of Health and Human Services;
  • Ready to use and print;
  • Easy to customize;
  • Compatible with most PDF-viewing applications;
  • Fill out the form in our online filing application.

Download a fillable version of the form by clicking the link below or browse more documents and templates provided by the New Hampshire Department of Health and Human Services.

Download Caregiver Application for the Therapeutic Use of Cannabis - New Hampshire

4.8 of 5 (13 votes)
  • Caregiver Application for the Therapeutic Use of Cannabis - New Hampshire

    1

  • Caregiver Application for the Therapeutic Use of Cannabis - New Hampshire, Page 2

    2

  • Caregiver Application for the Therapeutic Use of Cannabis - New Hampshire, Page 3

    3

  • Caregiver Application for the Therapeutic Use of Cannabis - New Hampshire, Page 4

    4

  • Caregiver Application for the Therapeutic Use of Cannabis - New Hampshire, Page 5

    5

  • Caregiver Application for the Therapeutic Use of Cannabis - New Hampshire, Page 6

    6

  • Caregiver Application for the Therapeutic Use of Cannabis - New Hampshire, Page 7

    7

  • Caregiver Application for the Therapeutic Use of Cannabis - New Hampshire, Page 8

    8

  • Caregiver Application for the Therapeutic Use of Cannabis - New Hampshire, Page 1
  • Caregiver Application for the Therapeutic Use of Cannabis - New Hampshire, Page 2
  • Caregiver Application for the Therapeutic Use of Cannabis - New Hampshire, Page 3
  • Caregiver Application for the Therapeutic Use of Cannabis - New Hampshire, Page 4
  • Caregiver Application for the Therapeutic Use of Cannabis - New Hampshire, Page 5
  • Caregiver Application for the Therapeutic Use of Cannabis - New Hampshire, Page 6
  • Caregiver Application for the Therapeutic Use of Cannabis - New Hampshire, Page 7
  • Caregiver Application for the Therapeutic Use of Cannabis - New Hampshire, Page 8
Prev 1 2 3 4 5 ... 8 Next
ADVERTISEMENT