Instructions for Form CC-1525 Certificate of Extension of Deed of Trust - Virginia

Instructions for Form CC-1525 Certificate of Extension of Deed of Trust - Virginia

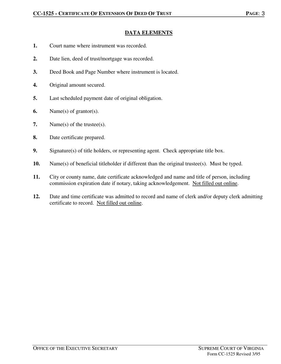
This document contains official instructions for Form CC-1525 , Certificate of Extension of Deed of Trust - a form released and collected by the Virginia Circuit Court. An up-to-date fillable Form CC-1525 is available for download through this link.

FAQ

Q: What is Form CC-1525?
A: Form CC-1525 is the Certificate of Extension of Deed of Trust in Virginia.

Q: What is a Deed of Trust?
A: A Deed of Trust is a legal document that conveys an interest in real property to secure an obligation, such as a mortgage or loan.

Q: Why would I need to file a Certificate of Extension of Deed of Trust?
A: You may need to file a Certificate of Extension to extend the time period of an existing Deed of Trust.

Q: What information is required on Form CC-1525?
A: You will need to provide the names and addresses of the parties involved, the original Deed of Trust recording information, and the reasons for the extension.

ADVERTISEMENT

Instruction Details:

  • This 3-page document is available for download in PDF;
  • Actual and applicable for the current year;
  • Complete, printable, and free.

Download your copy of the instructions by clicking the link below or browse hundreds of other forms in our library of forms released by the Virginia Circuit Court.

Download Instructions for Form CC-1525 Certificate of Extension of Deed of Trust - Virginia

4.3 of 5 (24 votes)
  • Instructions for Form CC-1525 Certificate of Extension of Deed of Trust - Virginia

    1

  • Instructions for Form CC-1525 Certificate of Extension of Deed of Trust - Virginia, Page 2

    2

  • Instructions for Form CC-1525 Certificate of Extension of Deed of Trust - Virginia, Page 3

    3

  • Instructions for Form CC-1525 Certificate of Extension of Deed of Trust - Virginia, Page 1
  • Instructions for Form CC-1525 Certificate of Extension of Deed of Trust - Virginia, Page 2
  • Instructions for Form CC-1525 Certificate of Extension of Deed of Trust - Virginia, Page 3
Prev 1 2 3 Next
ADVERTISEMENT