Form HHS-990-1 Hhs Workplace Flexibilities Agreement

Notification Icon This version of the form is not currently in use and is provided for reference only. Download this version of Form HHS-990-1 for the current year.

Form HHS-990-1 Hhs Workplace Flexibilities Agreement

What Is Form HHS-990-1?

This is a legal form that was released by the U.S. Department of Health and Human Services on March 1, 2022 and used country-wide. As of today, no separate filing guidelines for the form are provided by the issuing department.

FAQ

Q: What is Form HHS-990-1?
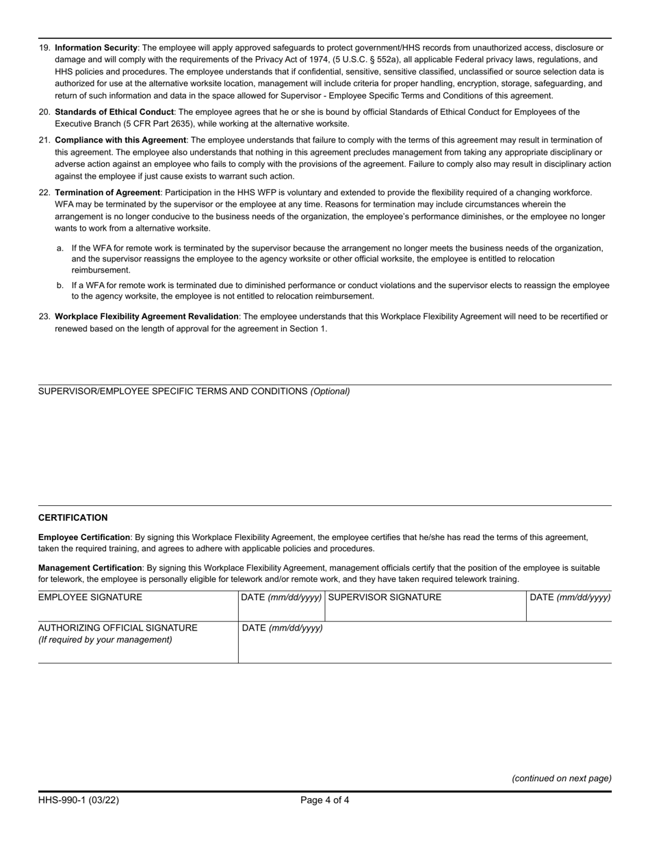
A: Form HHS-990-1 is the HHS Workplace Flexibilities Agreement.

Q: What is the purpose of Form HHS-990-1?
A: The purpose of Form HHS-990-1 is to document an agreement between an employee and their supervisor regarding workplace flexibilities.

Q: Who fills out Form HHS-990-1?
A: Both the employee and their supervisor fill out Form HHS-990-1.

Q: What are workplace flexibilities?
A: Workplace flexibilities are options that allow employees to have more control over how, when, and where they work.

Q: What is included in the HHS Workplace Flexibilities Agreement?
A: The agreement includes information about the types of flexibilities requested and agreed upon, as well as any conditions or restrictions.

Q: Is Form HHS-990-1 mandatory?
A: Yes, it is mandatory for employees and supervisors to complete Form HHS-990-1 if they agree to workplace flexibilities.

Q: Can I make changes to the agreement after submitting Form HHS-990-1?
A: Changes to the agreement can be made by submitting a revised Form HHS-990-1 with the updated information.

Q: What happens if the agreement is not followed?
A: If the agreement is not followed, it can result in disciplinary actions or the revocation of workplace flexibilities.

ADVERTISEMENT

Form Details:

  • Released on March 1, 2022;
  • The latest available edition released by the U.S. Department of Health and Human Services;
  • Easy to use and ready to print;
  • Yours to fill out and keep for your records;
  • Compatible with most PDF-viewing applications;
  • Fill out the form in our online filing application.

Download a fillable version of Form HHS-990-1 by clicking the link below or browse more documents and templates provided by the U.S. Department of Health and Human Services.

Download Form HHS-990-1 Hhs Workplace Flexibilities Agreement

4.5 of 5 (16 votes)
  • Form HHS-990-1 Hhs Workplace Flexibilities Agreement

    1

  • Form HHS-990-1 Hhs Workplace Flexibilities Agreement, Page 2

    2

  • Form HHS-990-1 Hhs Workplace Flexibilities Agreement, Page 3

    3

  • Form HHS-990-1 Hhs Workplace Flexibilities Agreement, Page 4

    4

  • Form HHS-990-1 Hhs Workplace Flexibilities Agreement, Page 1
  • Form HHS-990-1 Hhs Workplace Flexibilities Agreement, Page 2
  • Form HHS-990-1 Hhs Workplace Flexibilities Agreement, Page 3
  • Form HHS-990-1 Hhs Workplace Flexibilities Agreement, Page 4
Prev 1 2 3 4 Next
ADVERTISEMENT