Health Facility Application (Initial or Renewal) - New Hampshire

Health Facility Application (Initial or Renewal) - New Hampshire

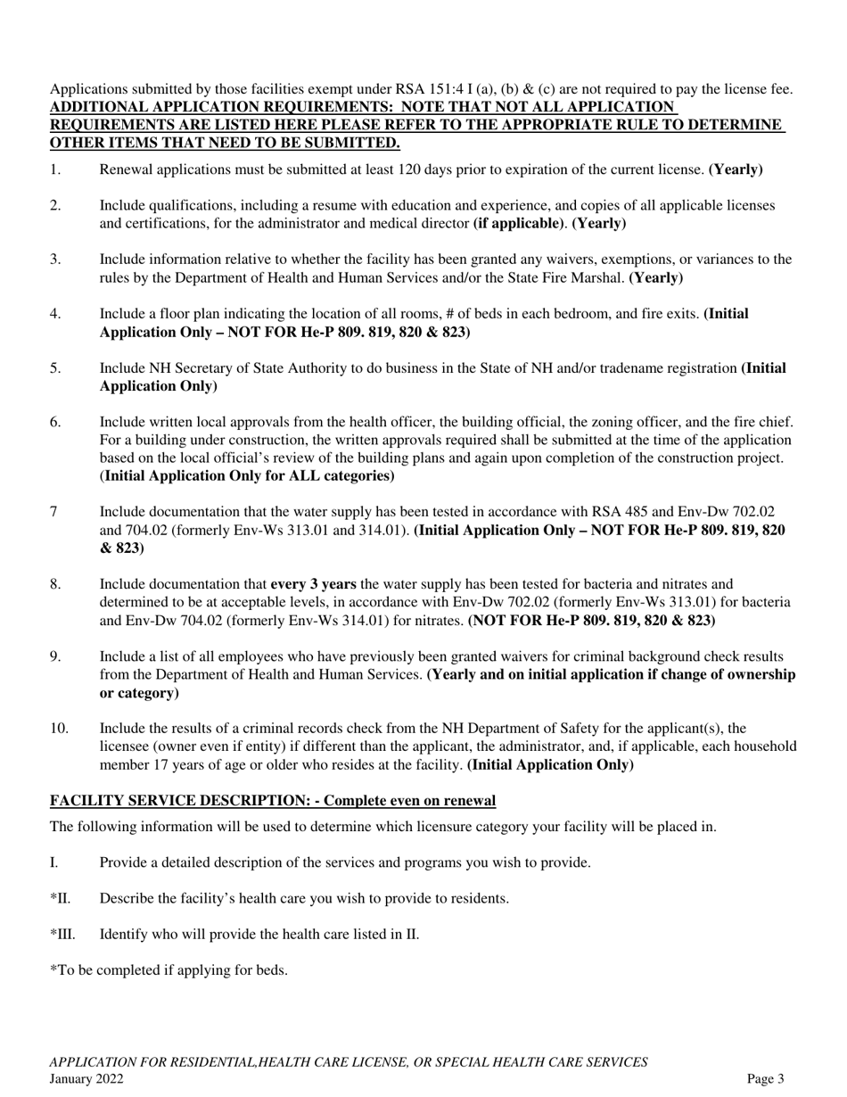
Health Facility Application (Initial or Renewal) is a legal document that was released by the New Hampshire Department of Health and Human Services - a government authority operating within New Hampshire.

FAQ

Q: What is a health facility application?
A: A health facility application is a form that needs to be filled out in order to either initiate or renew the licensing of a health facility in New Hampshire.

Q: Who needs to fill out a health facility application?
A: The owner or operator of a health facility in New Hampshire needs to fill out a health facility application.

Q: What is the purpose of a health facility application?
A: The purpose of a health facility application is to ensure that health facilities in New Hampshire meet the required standards and regulations to provide safe and quality care.

Q: What information is required in a health facility application?
A: A health facility application typically requires information about the facility's ownership, contact details, services provided, staffing, and compliance with regulations.

Q: How often does a health facility application need to be renewed?
A: A health facility application needs to be renewed periodically, typically every 2 to 3 years, depending on the type of facility.

Q: Are there any fees associated with submitting a health facility application?
A: Yes, there are usually fees associated with submitting a health facility application. The specific fees may vary depending on the type and size of the facility.

Q: What happens after I submit a health facility application?
A: After you submit a health facility application, it will be reviewed by the licensing authority. They may conduct an inspection to ensure compliance with regulations before issuing or renewing the license.

Q: What are the consequences of not submitting a health facility application?
A: Failure to submit a health facility application or operating without a valid license can result in penalties, fines, or even closure of the facility.

Q: Can I appeal if my health facility application is denied?
A: Yes, if your health facility application is denied, you have the right to appeal the decision through the designated appeal process.

ADVERTISEMENT

Form Details:

  • Released on January 1, 2022;
  • The latest edition currently provided by the New Hampshire Department of Health and Human Services;
  • Ready to use and print;
  • Easy to customize;
  • Compatible with most PDF-viewing applications;
  • Fill out the form in our online filing application.

Download a printable version of the form by clicking the link below or browse more documents and templates provided by the New Hampshire Department of Health and Human Services.

Download Health Facility Application (Initial or Renewal) - New Hampshire

4.5 of 5 (19 votes)
  • Health Facility Application (Initial or Renewal) - New Hampshire

    1

  • Health Facility Application (Initial or Renewal) - New Hampshire, Page 2

    2

  • Health Facility Application (Initial or Renewal) - New Hampshire, Page 3

    3

  • Health Facility Application (Initial or Renewal) - New Hampshire, Page 4

    4

  • Health Facility Application (Initial or Renewal) - New Hampshire, Page 5

    5

  • Health Facility Application (Initial or Renewal) - New Hampshire, Page 6

    6

  • Health Facility Application (Initial or Renewal) - New Hampshire, Page 7

    7

  • Health Facility Application (Initial or Renewal) - New Hampshire, Page 1
  • Health Facility Application (Initial or Renewal) - New Hampshire, Page 2
  • Health Facility Application (Initial or Renewal) - New Hampshire, Page 3
  • Health Facility Application (Initial or Renewal) - New Hampshire, Page 4
  • Health Facility Application (Initial or Renewal) - New Hampshire, Page 5
  • Health Facility Application (Initial or Renewal) - New Hampshire, Page 6
  • Health Facility Application (Initial or Renewal) - New Hampshire, Page 7
Prev 1 2 3 4 5 ... 7 Next
ADVERTISEMENT

Related Documents