Court Record Access Request Form for Criminal and Civil Proceedings - British Columbia, Canada

Court Record Access Request Form for Criminal and Civil Proceedings - British Columbia, Canada

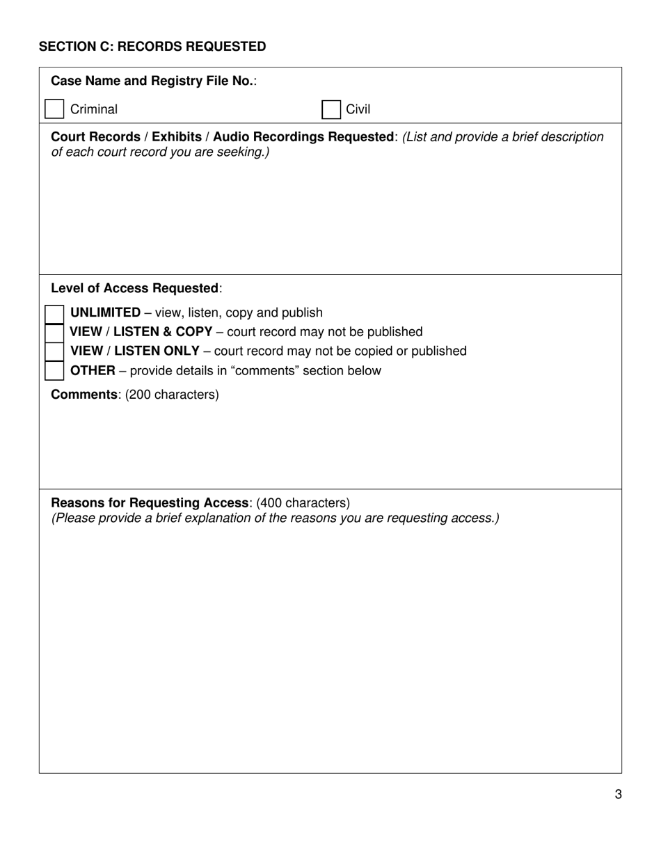
The Court Record Access Request Form for Criminal and Civil Proceedings in British Columbia, Canada is used to request access to court records related to criminal and civil cases. It allows individuals to obtain copies or view specific court documents.

In British Columbia, Canada, the individual requesting access to court records for criminal and civil proceedings should file the Court Record Access Request Form themselves.

FAQ

Q: What is the Court Record Access Request Form?
A: The Court Record Access Request Form is a document used in British Columbia, Canada to request access to court records for both criminal and civil proceedings.

Q: How can I get the Court Record Access Request Form?
A: You can obtain the Court Record Access Request Form from the court registry in British Columbia.

Q: What can I use the Court Record Access Request Form for?
A: You can use the form to request access to court records for criminal and civil proceedings, including judgments, orders, and other court documents.

Q: Do I need to provide any information when submitting the form?
A: Yes, you will need to provide your personal information, the case information, and the specific records you are requesting access to.

Q: Is there a fee for submitting the Court Record Access Request Form?
A: Yes, there is a fee for accessing court records. The fee amount may vary depending on the type of record and the method of access.

Q: How long does it take to process the Court Record Access Request Form?
A: Processing times can vary, but generally it takes a few business days to process the request. You may be notified once the records are ready for access.

Q: Are there any restrictions on accessing court records?
A: Yes, there may be restrictions on accessing certain types of court records, especially those related to ongoing investigations, sensitive information, or protected individuals. The court has the authority to limit or deny access to certain records.

Q: Can I access court records from other provinces or territories with this form?
A: No, the Court Record Access Request Form is specific to British Columbia. If you need to access court records from other provinces or territories, you will need to follow their respective procedures.

ADVERTISEMENT

Download Court Record Access Request Form for Criminal and Civil Proceedings - British Columbia, Canada

4.4 of 5 (23 votes)
  • Court Record Access Request Form for Criminal and Civil Proceedings - British Columbia, Canada

    1

  • Court Record Access Request Form for Criminal and Civil Proceedings - British Columbia, Canada, Page 2

    2

  • Court Record Access Request Form for Criminal and Civil Proceedings - British Columbia, Canada, Page 3

    3

  • Court Record Access Request Form for Criminal and Civil Proceedings - British Columbia, Canada, Page 4

    4

  • Court Record Access Request Form for Criminal and Civil Proceedings - British Columbia, Canada, Page 1
  • Court Record Access Request Form for Criminal and Civil Proceedings - British Columbia, Canada, Page 2
  • Court Record Access Request Form for Criminal and Civil Proceedings - British Columbia, Canada, Page 3
  • Court Record Access Request Form for Criminal and Civil Proceedings - British Columbia, Canada, Page 4
Prev 1 2 3 4 Next
ADVERTISEMENT