Industrial Access Railroad Tracks Program Application - Virginia

Industrial Access Railroad Tracks Program Application - Virginia

Industrial Access Railroad Tracks Program Application is a legal document that was released by the Virginia Department of Rail and Public Transportation - a government authority operating within Virginia.

FAQ

Q: What is the Industrial Access Railroad Tracks Program?
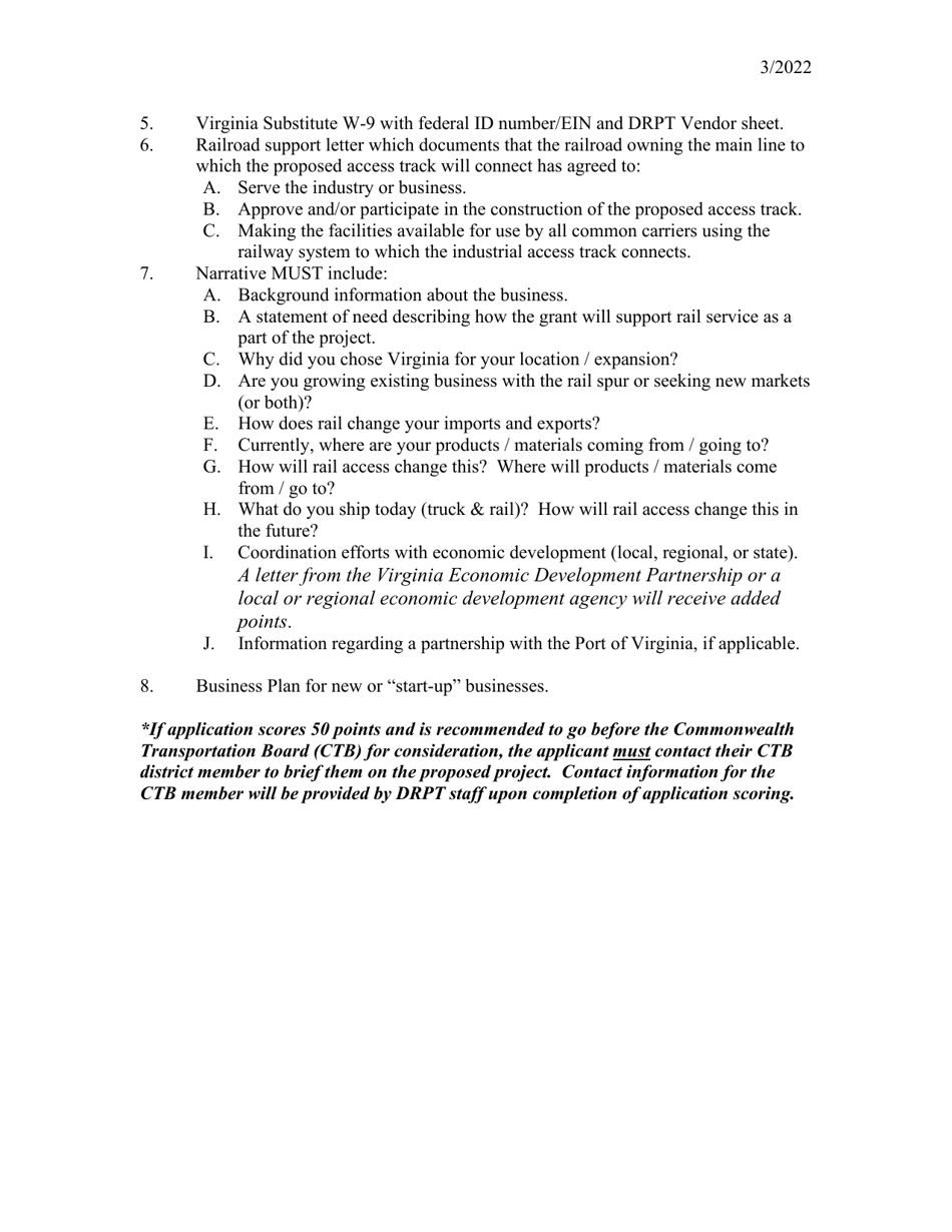
A: The Industrial Access Railroad Tracks Program is a program in Virginia that helps businesses and industries to construct or improve rail infrastructure for accessing their facilities.

Q: Who is eligible to apply for the program?
A: Private businesses, industries, and local governments in Virginia are eligible to apply for the Industrial Access Railroad Tracks Program.

Q: What can the program funds be used for?
A: The program funds can be used for a variety of expenses related to the construction or improvement of rail infrastructure, including land acquisition, track construction, and track rehabilitation.

Q: How can I apply for the program?
A: You can apply for the Industrial Access Railroad Tracks Program by submitting an application to the Virginia Department of Rail and Public Transportation.

ADVERTISEMENT

Form Details:

  • Released on March 1, 2022;
  • The latest edition currently provided by the Virginia Department of Rail and Public Transportation;
  • Ready to use and print;
  • Easy to customize;
  • Compatible with most PDF-viewing applications;
  • Fill out the form in our online filing application.

Download a fillable version of the form by clicking the link below or browse more documents and templates provided by the Virginia Department of Rail and Public Transportation.

Download Industrial Access Railroad Tracks Program Application - Virginia

4.4 of 5 (35 votes)
  • Industrial Access Railroad Tracks Program Application - Virginia

    1

  • Industrial Access Railroad Tracks Program Application - Virginia, Page 2

    2

  • Industrial Access Railroad Tracks Program Application - Virginia, Page 3

    3

  • Industrial Access Railroad Tracks Program Application - Virginia, Page 4

    4

  • Industrial Access Railroad Tracks Program Application - Virginia, Page 5

    5

  • Industrial Access Railroad Tracks Program Application - Virginia, Page 6

    6

  • Industrial Access Railroad Tracks Program Application - Virginia, Page 7

    7

  • Industrial Access Railroad Tracks Program Application - Virginia, Page 8

    8

  • Industrial Access Railroad Tracks Program Application - Virginia, Page 9

    9

  • Industrial Access Railroad Tracks Program Application - Virginia, Page 10

    10

  • Industrial Access Railroad Tracks Program Application - Virginia, Page 11

    11

  • Industrial Access Railroad Tracks Program Application - Virginia, Page 12

    12

  • Industrial Access Railroad Tracks Program Application - Virginia, Page 1
  • Industrial Access Railroad Tracks Program Application - Virginia, Page 2
  • Industrial Access Railroad Tracks Program Application - Virginia, Page 3
  • Industrial Access Railroad Tracks Program Application - Virginia, Page 4
  • Industrial Access Railroad Tracks Program Application - Virginia, Page 5
  • Industrial Access Railroad Tracks Program Application - Virginia, Page 6
  • Industrial Access Railroad Tracks Program Application - Virginia, Page 7
  • Industrial Access Railroad Tracks Program Application - Virginia, Page 8
  • Industrial Access Railroad Tracks Program Application - Virginia, Page 9
  • Industrial Access Railroad Tracks Program Application - Virginia, Page 10
  • Industrial Access Railroad Tracks Program Application - Virginia, Page 11
  • Industrial Access Railroad Tracks Program Application - Virginia, Page 12
Prev 1 2 3 4 5 ... 12 Next
ADVERTISEMENT

Related Documents