Instructions for Form DC-411 Service Other Than by Virginia Sheriff - Virginia

Instructions for Form DC-411 Service Other Than by Virginia Sheriff - Virginia

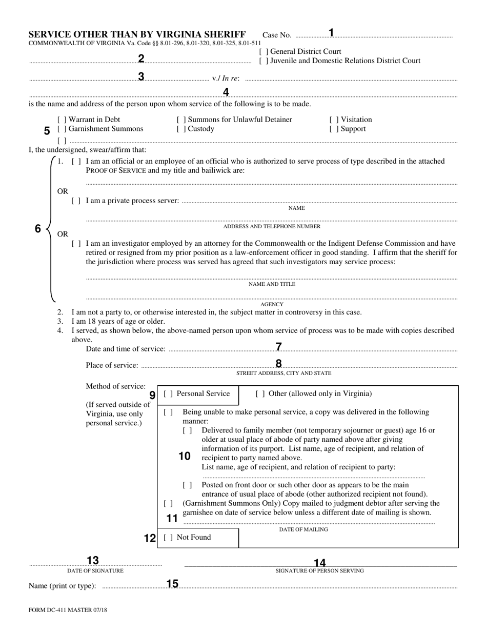
This document contains official instructions for Form DC-411 , Service Other Than by Virginia Sheriff - a form released and collected by the Virginia District Court.

FAQ

Q: What is Form DC-411?
A: Form DC-411 is a document used for service other than by the Virginia Sheriff in Virginia.

Q: When do I need to use Form DC-411?
A: You need to use Form DC-411 when you need to serve legal documents in Virginia through a method other than the Virginia Sheriff.

Q: How do I fill out Form DC-411?
A: You must provide details such as the names of the parties involved, the type of document being served, the method of service, and other relevant information.

Q: Can I use Form DC-411 for serving documents in other states?
A: No, Form DC-411 is specifically for service of documents in Virginia.

Q: Are there any fees associated with using Form DC-411?
A: There may be fees associated with serving documents through methods other than the Virginia Sheriff. It is best to check with the local courthouse or consult legal advice for specific fee information.

ADVERTISEMENT

Instruction Details:

  • This 4-page document is available for download in PDF;
  • Actual and applicable for the current year;
  • Complete, printable, and free.

Download your copy of the instructions by clicking the link below or browse hundreds of other forms in our library of forms released by the Virginia District Court.

Download Instructions for Form DC-411 Service Other Than by Virginia Sheriff - Virginia

4.6 of 5 (11 votes)
  • Instructions for Form DC-411 Service Other Than by Virginia Sheriff - Virginia

    1

  • Instructions for Form DC-411 Service Other Than by Virginia Sheriff - Virginia, Page 2

    2

  • Instructions for Form DC-411 Service Other Than by Virginia Sheriff - Virginia, Page 3

    3

  • Instructions for Form DC-411 Service Other Than by Virginia Sheriff - Virginia, Page 4

    4

  • Instructions for Form DC-411 Service Other Than by Virginia Sheriff - Virginia, Page 1
  • Instructions for Form DC-411 Service Other Than by Virginia Sheriff - Virginia, Page 2
  • Instructions for Form DC-411 Service Other Than by Virginia Sheriff - Virginia, Page 3
  • Instructions for Form DC-411 Service Other Than by Virginia Sheriff - Virginia, Page 4
Prev 1 2 3 4 Next
ADVERTISEMENT

Related Documents