Plumbing Master Mechanic Exam Application - Virgin Islands

Plumbing Master Mechanic Exam Application - Virgin Islands

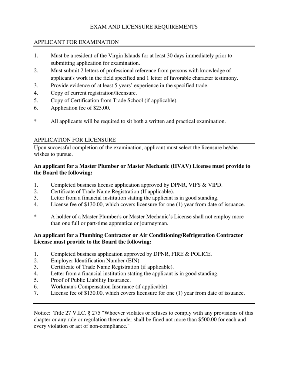
Plumbing Master Mechanic Exam Application is a legal document that was released by the Virgin Islands Department of Licensing and Consumer Affairs - a government authority operating within Virgin Islands.

FAQ

Q: What is the Plumbing Master Mechanic Exam?
A: The Plumbing Master Mechanic Exam is an examination for individuals seeking to become certified as master plumbers in the Virgin Islands.

Q: How do I apply for the Plumbing Master Mechanic Exam?
A: To apply for the Plumbing Master Mechanic Exam in the Virgin Islands, you need to complete and submit an exam application form.

Q: What are the requirements to take the Plumbing Master Mechanic Exam?
A: The requirements to take the Plumbing Master Mechanic Exam in the Virgin Islands include having a certain amount of work experience as a journeyman plumber and completing an approved training program.

Q: How much is the fee for the Plumbing Master Mechanic Exam application?
A: The fee for the Plumbing Master Mechanic Exam application in the Virgin Islands is $50.

Q: What documents do I need to submit with my Plumbing Master Mechanic Exam application?
A: You need to submit documents such as proof of work experience, training program completion certificate, and any other supporting documentation.

Q: When is the Plumbing Master Mechanic Exam held?
A: The Plumbing Master Mechanic Exam in the Virgin Islands is held on specific dates determined by the licensing board.

Q: How long does it take to receive the results of the Plumbing Master Mechanic Exam?
A: The time to receive the results of the Plumbing Master Mechanic Exam in the Virgin Islands may vary, but typically it takes a few weeks.

Q: What happens if I pass the Plumbing Master Mechanic Exam?
A: If you pass the Plumbing Master Mechanic Exam in the Virgin Islands, you may be eligible to apply for a master plumber license.

Q: What happens if I fail the Plumbing Master Mechanic Exam?
A: If you fail the Plumbing Master Mechanic Exam in the Virgin Islands, you may have the option to retake the exam at a later date.

ADVERTISEMENT

Form Details:

  • The latest edition currently provided by the Virgin Islands Department of Licensing and Consumer Affairs;
  • Ready to use and print;
  • Easy to customize;
  • Compatible with most PDF-viewing applications;
  • Fill out the form in our online filing application.

Download a printable version of the form by clicking the link below or browse more documents and templates provided by the Virgin Islands Department of Licensing and Consumer Affairs.

Download Plumbing Master Mechanic Exam Application - Virgin Islands

4.8 of 5 (25 votes)
  • Plumbing Master Mechanic Exam Application - Virgin Islands

    1

  • Plumbing Master Mechanic Exam Application - Virgin Islands, Page 2

    2

  • Plumbing Master Mechanic Exam Application - Virgin Islands, Page 3

    3

  • Plumbing Master Mechanic Exam Application - Virgin Islands, Page 4

    4

  • Plumbing Master Mechanic Exam Application - Virgin Islands, Page 5

    5

  • Plumbing Master Mechanic Exam Application - Virgin Islands, Page 1
  • Plumbing Master Mechanic Exam Application - Virgin Islands, Page 2
  • Plumbing Master Mechanic Exam Application - Virgin Islands, Page 3
  • Plumbing Master Mechanic Exam Application - Virgin Islands, Page 4
  • Plumbing Master Mechanic Exam Application - Virgin Islands, Page 5
Prev 1 2 3 4 5 Next
ADVERTISEMENT