Instructions for Annual Survey of Children in State Operated / Supported Institutions for Neglected or Delinquent Children or Children in Adult Correctional Institutions - Indiana

Instructions for Annual Survey of Children in State Operated / Supported Institutions for Neglected or Delinquent Children or Children in Adult Correctional Institutions - Indiana

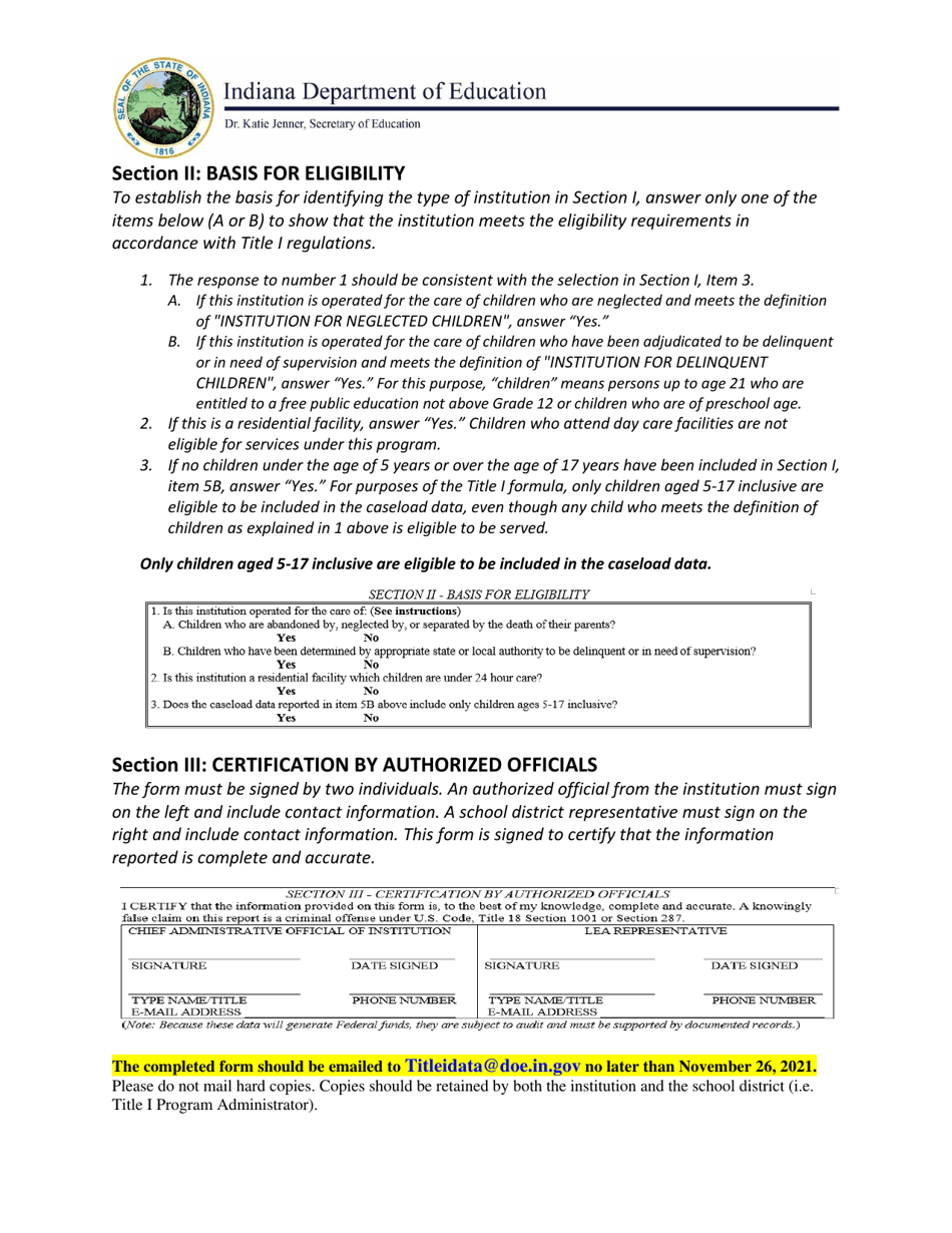
This document was released by Indiana Department of Education and contains official instructions for Annual Survey of Children in State Operated/Supported Institutions for Neglected or Delinquent Children or Children in Adult Correctional Institutions . The up-to-date fillable form is available for download through this link.

FAQ

Q: What is the purpose of the Annual Survey of Children in State Operated/Supported Institutions in Indiana?
A: The purpose of the survey is to gather information about children in state operated/supported institutions.

Q: Which institutions are included in the survey?
A: The survey includes institutions for neglected or delinquent children as well as children in adult correctional institutions.

Q: Who is responsible for conducting the survey in Indiana?
A: Indiana is responsible for conducting the survey.

Q: Why is it important to conduct this survey annually?
A: Conducting the survey annually helps track the progress and needs of children in state operated/supported institutions.

Q: Who is eligible to participate in the survey?
A: Children in state operated/supported institutions in Indiana are eligible to participate.

Q: Is participation in the survey mandatory?
A: Yes, participation in the survey is mandatory for state operated/supported institutions in Indiana.

Q: What information is collected in the survey?
A: The survey collects information about the demographic characteristics, education, and services provided to children in state operated/supported institutions.

Q: Are the survey responses confidential?
A: Yes, the survey responses are kept confidential and only aggregate data is reported.

Q: What happens after the survey is completed?
A: After the survey is completed, the data is analyzed and used for planning and improving services for children in state operated/supported institutions.

ADVERTISEMENT

Instruction Details:

  • This 4-page document is available for download in PDF;
  • Actual and applicable for the current year;
  • Complete, printable, and free.

Download your copy of the instructions by clicking the link below or browse hundreds of other forms in our library legal documents released by the Indiana Department of Education.

Download Instructions for Annual Survey of Children in State Operated / Supported Institutions for Neglected or Delinquent Children or Children in Adult Correctional Institutions - Indiana

4.4 of 5 (21 votes)
  • Instructions for Annual Survey of Children in State Operated/Supported Institutions for Neglected or Delinquent Children or Children in Adult Correctional Institutions - Indiana

    1

  • Instructions for Annual Survey of Children in State Operated/Supported Institutions for Neglected or Delinquent Children or Children in Adult Correctional Institutions - Indiana, Page 2

    2

  • Instructions for Annual Survey of Children in State Operated/Supported Institutions for Neglected or Delinquent Children or Children in Adult Correctional Institutions - Indiana, Page 3

    3

  • Instructions for Annual Survey of Children in State Operated/Supported Institutions for Neglected or Delinquent Children or Children in Adult Correctional Institutions - Indiana, Page 4

    4

  • Instructions for Annual Survey of Children in State Operated / Supported Institutions for Neglected or Delinquent Children or Children in Adult Correctional Institutions - Indiana, Page 1
  • Instructions for Annual Survey of Children in State Operated / Supported Institutions for Neglected or Delinquent Children or Children in Adult Correctional Institutions - Indiana, Page 2
  • Instructions for Annual Survey of Children in State Operated / Supported Institutions for Neglected or Delinquent Children or Children in Adult Correctional Institutions - Indiana, Page 3
  • Instructions for Annual Survey of Children in State Operated / Supported Institutions for Neglected or Delinquent Children or Children in Adult Correctional Institutions - Indiana, Page 4
Prev 1 2 3 4 Next
ADVERTISEMENT