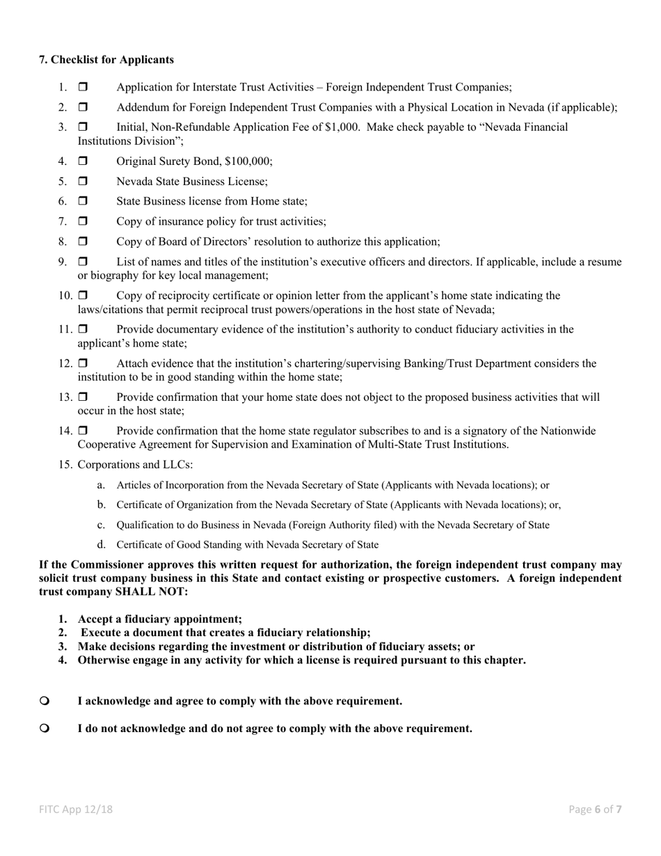
Application for Interstate Trust Activities - Foreign Independent Trust Company - Nevada

Notification Icon This version of the form is not currently in use and is provided for reference only. Download this version of the document for the current year.

Application for Interstate Trust Activities - Foreign Independent Trust Company - Nevada

Application for Interstate Trust Activities - Foreign Independent Trust Company is a legal document that was released by the Nevada Department of Business and Industry - a government authority operating within Nevada.

FAQ

Q: What is an Interstate Trust Activities - Foreign Independent Trust Company?
A: An Interstate Trust Activities - Foreign Independent Trust Company is a type of trust company that operates in multiple states and is based in Nevada.

Q: How can I apply for an Interstate Trust Activities - Foreign Independent Trust Company in Nevada?
A: To apply for an Interstate Trust Activities - Foreign Independent Trust Company in Nevada, you need to submit an application to the appropriate regulatory authority and meet the specified requirements.

Q: What are the requirements to become an Interstate Trust Activities - Foreign Independent Trust Company in Nevada?
A: The specific requirements to become an Interstate Trust Activities - Foreign Independent Trust Company in Nevada may vary. It is best to consult the regulatory authority for the most up-to-date information.

Q: What are the benefits of operating as an Interstate Trust Activities - Foreign Independent Trust Company?
A: Operating as an Interstate Trust Activities - Foreign Independent Trust Company allows you to offer trust services in multiple states, expanding your reach and potential client base.

Q: Is there a specific regulatory authority for Interstate Trust Activities - Foreign Independent Trust Companies in Nevada?
A: Yes, there is a specific regulatory authority in Nevada that oversees Interstate Trust Activities - Foreign Independent Trust Companies. You will need to apply and comply with their regulations.

Q: Are there any limitations or restrictions for an Interstate Trust Activities - Foreign Independent Trust Company?
A: Yes, there may be limitations or restrictions on the activities and operations of an Interstate Trust Activities - Foreign Independent Trust Company. These can vary depending on the specific state regulations.

Q: Can an Interstate Trust Activities - Foreign Independent Trust Company operate in multiple states?
A: Yes, one of the main advantages of an Interstate Trust Activities - Foreign Independent Trust Company is the ability to operate in multiple states, as long as they meet the regulatory requirements of each state.

Q: What types of trust services can an Interstate Trust Activities - Foreign Independent Trust Company offer?
A: An Interstate Trust Activities - Foreign Independent Trust Company can offer a range of trust services, including asset management, trustee services, estate planning, and more.

Q: How long does the application process for an Interstate Trust Activities - Foreign Independent Trust Company in Nevada take?
A: The application process for an Interstate Trust Activities - Foreign Independent Trust Company in Nevada can vary in duration. It is advisable to contact the regulatory authority for more information.

Q: What are the fees associated with establishing an Interstate Trust Activities - Foreign Independent Trust Company?
A: The fees associated with establishing an Interstate Trust Activities - Foreign Independent Trust Company can vary. It is recommended to check with the regulatory authority for the specific fee structure.

ADVERTISEMENT

Form Details:

  • Released on December 1, 2018;
  • The latest edition currently provided by the Nevada Department of Business and Industry;
  • Ready to use and print;
  • Easy to customize;
  • Compatible with most PDF-viewing applications;
  • Fill out the form in our online filing application.

Download a printable version of the form by clicking the link below or browse more documents and templates provided by the Nevada Department of Business and Industry.

Download Application for Interstate Trust Activities - Foreign Independent Trust Company - Nevada

4.6 of 5 (19 votes)
  • Application for Interstate Trust Activities - Foreign Independent Trust Company - Nevada

    1

  • Application for Interstate Trust Activities - Foreign Independent Trust Company - Nevada, Page 2

    2

  • Application for Interstate Trust Activities - Foreign Independent Trust Company - Nevada, Page 3

    3

  • Application for Interstate Trust Activities - Foreign Independent Trust Company - Nevada, Page 4

    4

  • Application for Interstate Trust Activities - Foreign Independent Trust Company - Nevada, Page 5

    5

  • Application for Interstate Trust Activities - Foreign Independent Trust Company - Nevada, Page 6

    6

  • Application for Interstate Trust Activities - Foreign Independent Trust Company - Nevada, Page 7

    7

  • Application for Interstate Trust Activities - Foreign Independent Trust Company - Nevada, Page 1
  • Application for Interstate Trust Activities - Foreign Independent Trust Company - Nevada, Page 2
  • Application for Interstate Trust Activities - Foreign Independent Trust Company - Nevada, Page 3
  • Application for Interstate Trust Activities - Foreign Independent Trust Company - Nevada, Page 4
  • Application for Interstate Trust Activities - Foreign Independent Trust Company - Nevada, Page 5
  • Application for Interstate Trust Activities - Foreign Independent Trust Company - Nevada, Page 6
  • Application for Interstate Trust Activities - Foreign Independent Trust Company - Nevada, Page 7
Prev 1 2 3 4 5 ... 7 Next
ADVERTISEMENT