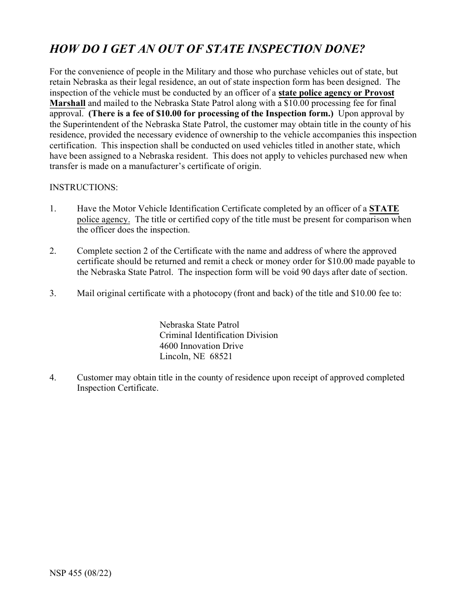
Form NSP455 Motor Vehicle Identification Certificate - Nebraska

Notification Icon This version of the form is not currently in use and is provided for reference only. Download this version of Form NSP455 for the current year.

Form NSP455 Motor Vehicle Identification Certificate - Nebraska

What Is Form NSP455?

This is a legal form that was released by the Nebraska State Patrol - a government authority operating within Nebraska. As of today, no separate filing guidelines for the form are provided by the issuing department.

FAQ

Q: What is Form NSP455?
A: Form NSP455 is the Motor Vehicle Identification Certificate issued by the state of Nebraska.

Q: What is the purpose of Form NSP455?
A: The purpose of Form NSP455 is to certify the identification of a motor vehicle in the state of Nebraska.

Q: What information is required on Form NSP455?
A: Form NSP455 requires information such as the vehicle identification number, make and model of the vehicle, and the owner's information.

Q: Is there a fee for Form NSP455?
A: Yes, there is a fee for obtaining the Motor Vehicle Identification Certificate using Form NSP455. The fee amount can be obtained from the Nebraska Department of Motor Vehicles.

ADVERTISEMENT

Form Details:

  • Released on August 1, 2022;
  • The latest edition provided by the Nebraska State Patrol;
  • Easy to use and ready to print;
  • Quick to customize;
  • Compatible with most PDF-viewing applications;
  • Fill out the form in our online filing application.

Download a fillable version of Form NSP455 by clicking the link below or browse more documents and templates provided by the Nebraska State Patrol.

Download Form NSP455 Motor Vehicle Identification Certificate - Nebraska

4.6 of 5 (8 votes)
  • Form NSP455 Motor Vehicle Identification Certificate - Nebraska

    1

  • Form NSP455 Motor Vehicle Identification Certificate - Nebraska, Page 2

    2

  • Form NSP455 Motor Vehicle Identification Certificate - Nebraska, Page 1
  • Form NSP455 Motor Vehicle Identification Certificate - Nebraska, Page 2
Prev 1 2 Next
ADVERTISEMENT

Related Documents