Form MV347 Document Fee Refund Form - Delaware

Notification Icon This version of the form is not currently in use and is provided for reference only. Download this version of Form MV347 for the current year.

Form MV347 Document Fee Refund Form - Delaware

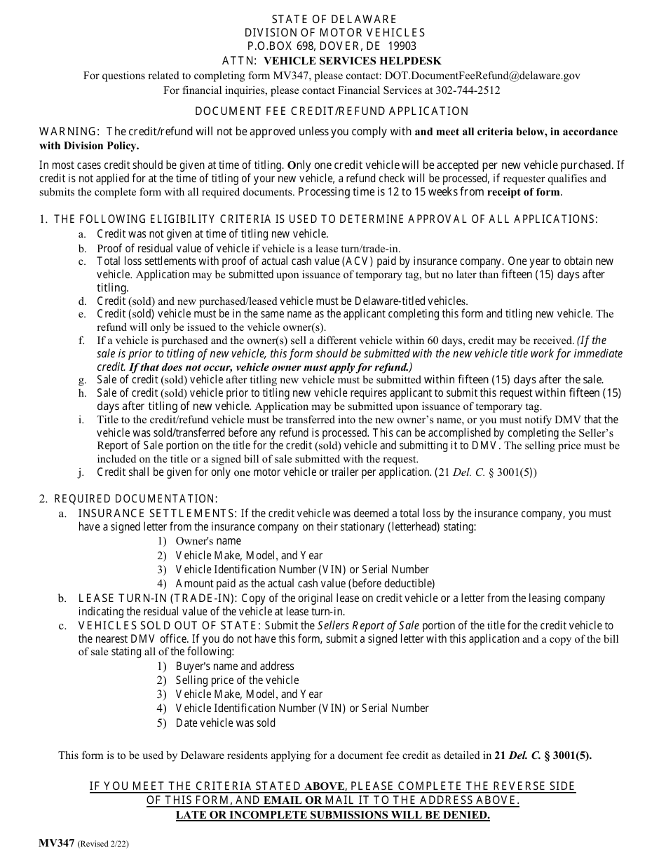
What Is Form MV347?

This is a legal form that was released by the Delaware Department of Transportation - Division of Motor Vehicles - a government authority operating within Delaware. As of today, no separate filing guidelines for the form are provided by the issuing department.

FAQ

Q: What is Form MV347?
A: Form MV347 is the Document Fee Refund Form in the state of Delaware.

Q: What is the purpose of Form MV347?
A: The purpose of Form MV347 is to request a refund of the document fee paid for certain vehicle-related transactions in Delaware.

Q: Who can use Form MV347?
A: Form MV347 can be used by individuals who have paid a document fee for specific vehicle-related transactions in Delaware and are eligible for a refund.

Q: What transactions are eligible for a document fee refund in Delaware?
A: Transactions such as vehicle registration, title transfers, and renewals may be eligible for a document fee refund in Delaware.

Q: What information is required on Form MV347?
A: Form MV347 requires information such as the applicant's name, address, contact information, vehicle details, proof of payment, and reason for the refund request.

Q: Is there a deadline to submit Form MV347?
A: Yes, Form MV347 must be submitted within one year from the date of the eligible transaction in order to be eligible for a refund.

Q: Are there any fees associated with submitting Form MV347?
A: No, there are no fees associated with submitting Form MV347.

Q: How long does it take to receive a refund after submitting Form MV347?
A: The processing time for a document fee refund request can vary, but it typically takes around 4-6 weeks to receive a refund after submitting Form MV347.

Q: What if my Form MV347 is denied?
A: If your Form MV347 is denied, you will receive a written explanation for the denial and have the option to appeal the decision.

ADVERTISEMENT

Form Details:

  • Released on February 1, 2022;
  • The latest edition provided by the Delaware Department of Transportation - Division of Motor Vehicles;
  • Easy to use and ready to print;
  • Quick to customize;
  • Compatible with most PDF-viewing applications;
  • Fill out the form in our online filing application.

Download a fillable version of Form MV347 by clicking the link below or browse more documents and templates provided by the Delaware Department of Transportation - Division of Motor Vehicles.

Download Form MV347 Document Fee Refund Form - Delaware

4.4 of 5 (13 votes)
  • Form MV347 Document Fee Refund Form - Delaware

    1

  • Form MV347 Document Fee Refund Form - Delaware, Page 2

    2

  • Form MV347 Document Fee Refund Form - Delaware, Page 1
  • Form MV347 Document Fee Refund Form - Delaware, Page 2
Prev 1 2 Next
ADVERTISEMENT