Single and Two Family Structure Application - Community Reinvestment Area Program - City of Cleveland, Ohio

Single and Two Family Structure Application - Community Reinvestment Area Program - City of Cleveland, Ohio

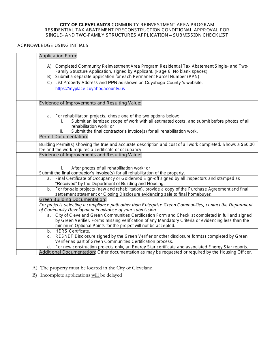
Single and Two Family Structure Application - Community Reinvestment Area Program is a legal document that was released by the Department of Community Development - City of Cleveland, Ohio - a government authority operating within Ohio. The form may be used strictly within City of Cleveland.

FAQ

Q: What is the Single and Two Family Structure Application?
A: Single and Two Family Structure Application is a form that needs to be completed for participating in the Community Reinvestment Area Program in the City of Cleveland, Ohio.

Q: What is the Community Reinvestment Area Program?
A: The Community Reinvestment Area Program is a program in the City of Cleveland, Ohio that provides incentives for the construction or renovation of residential properties.

Q: Who can participate in the Community Reinvestment Area Program?
A: Property owners who are planning to construct or renovate single or two-family residential structures in the designated areas of Cleveland, Ohio.

Q: What are the benefits of participating in the Community Reinvestment Area Program?
A: Participants may receive tax abatements on the increased property value resulting from construction or renovation.

Q: Is the Community Reinvestment Area Program available in other cities or states?
A: The Community Reinvestment Area Program may exist in other cities or states, but this document specifically refers to the program in the City of Cleveland, Ohio.

Q: What types of properties are eligible for the Community Reinvestment Area Program?
A: Single and two-family residential structures that will be constructed or renovated in the designated areas of Cleveland, Ohio.

Q: What is the purpose of the Single and Two Family Structure Application?
A: The purpose of the application is to provide information about the planned construction or renovation project and determine eligibility for the Community Reinvestment Area Program.

Q: Are there any deadlines for submitting the Single and Two Family Structure Application?
A: The document does not provide specific information about deadlines. It is recommended to contact the City of Cleveland, Ohio or the Department of Building and Housing for deadline information.

ADVERTISEMENT

Form Details:

  • Released on January 11, 2022;
  • The latest edition currently provided by the Department of Community Development - City of Cleveland, Ohio;
  • Ready to use and print;
  • Easy to customize;
  • Compatible with most PDF-viewing applications;
  • Fill out the form in our online filing application.

Download a printable version of the form by clicking the link below or browse more documents and templates provided by the Department of Community Development - City of Cleveland, Ohio.

Download Single and Two Family Structure Application - Community Reinvestment Area Program - City of Cleveland, Ohio

4.7 of 5 (24 votes)
  • Single and Two Family Structure Application - Community Reinvestment Area Program - City of Cleveland, Ohio

    1

  • Single and Two Family Structure Application - Community Reinvestment Area Program - City of Cleveland, Ohio, Page 2

    2

  • Single and Two Family Structure Application - Community Reinvestment Area Program - City of Cleveland, Ohio, Page 3

    3

  • Single and Two Family Structure Application - Community Reinvestment Area Program - City of Cleveland, Ohio, Page 4

    4

  • Single and Two Family Structure Application - Community Reinvestment Area Program - City of Cleveland, Ohio, Page 5

    5

  • Single and Two Family Structure Application - Community Reinvestment Area Program - City of Cleveland, Ohio, Page 6

    6

  • Single and Two Family Structure Application - Community Reinvestment Area Program - City of Cleveland, Ohio, Page 7

    7

  • Single and Two Family Structure Application - Community Reinvestment Area Program - City of Cleveland, Ohio, Page 1
  • Single and Two Family Structure Application - Community Reinvestment Area Program - City of Cleveland, Ohio, Page 2
  • Single and Two Family Structure Application - Community Reinvestment Area Program - City of Cleveland, Ohio, Page 3
  • Single and Two Family Structure Application - Community Reinvestment Area Program - City of Cleveland, Ohio, Page 4
  • Single and Two Family Structure Application - Community Reinvestment Area Program - City of Cleveland, Ohio, Page 5
  • Single and Two Family Structure Application - Community Reinvestment Area Program - City of Cleveland, Ohio, Page 6
  • Single and Two Family Structure Application - Community Reinvestment Area Program - City of Cleveland, Ohio, Page 7
Prev 1 2 3 4 5 ... 7 Next
ADVERTISEMENT