PBGC Form 723 Request for Additional Time to File an Appeal of a PBGC Benefit Determination

PBGC Form 723 Request for Additional Time to File an Appeal of a PBGC Benefit Determination

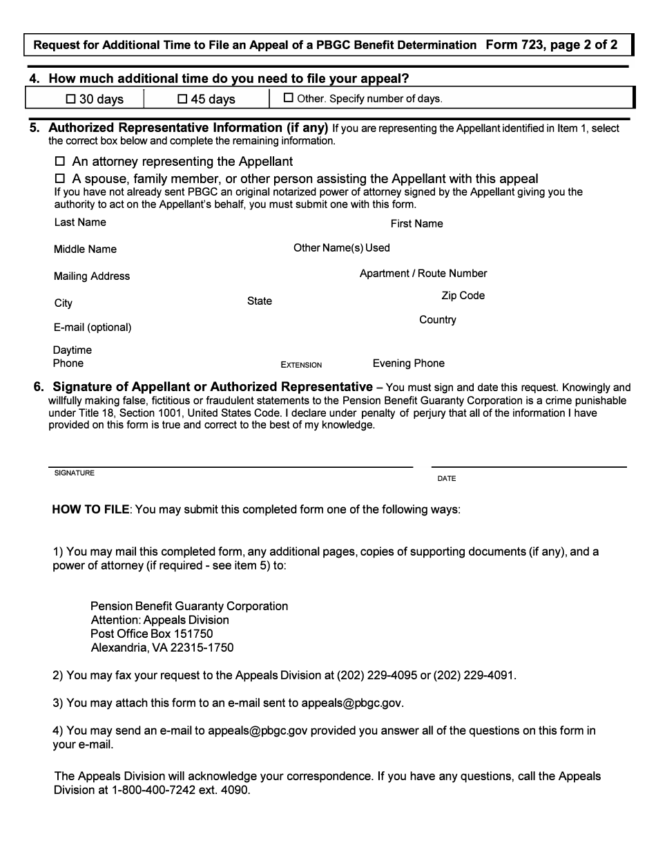
What Is PBGC Form 723?

This is a legal form that was released by the U.S. Pension Benefit Guaranty Corporation and used country-wide. As of today, no separate filing guidelines for the form are provided by the issuing department.

FAQ

Q: What is PBGC Form 723?
A: PBGC Form 723 is a form used to request additional time to file an appeal of a PBGC benefit determination.

Q: What is the purpose of PBGC Form 723?
A: The purpose of PBGC Form 723 is to request more time to file an appeal against a PBGC benefit determination.

Q: Who can use PBGC Form 723?
A: Anyone who wishes to appeal a PBGC benefit determination and needs more time to do so can use PBGC Form 723.

Q: How do I fill out PBGC Form 723?
A: To fill out PBGC Form 723, you need to provide your personal information, details about the PBGC benefit determination, and explain why you need more time to file an appeal.

ADVERTISEMENT

Form Details:

Download a fillable version of PBGC Form 723 by clicking the link below or browse more documents and templates provided by the U.S. Pension Benefit Guaranty Corporation.

Download PBGC Form 723 Request for Additional Time to File an Appeal of a PBGC Benefit Determination

4.5 of 5 (24 votes)
  • PBGC Form 723 Request for Additional Time to File an Appeal of a PBGC Benefit Determination

    1

  • PBGC Form 723 Request for Additional Time to File an Appeal of a PBGC Benefit Determination, Page 2

    2

  • PBGC Form 723 Request for Additional Time to File an Appeal of a PBGC Benefit Determination, Page 3

    3

  • PBGC Form 723 Request for Additional Time to File an Appeal of a PBGC Benefit Determination, Page 1
  • PBGC Form 723 Request for Additional Time to File an Appeal of a PBGC Benefit Determination, Page 2
  • PBGC Form 723 Request for Additional Time to File an Appeal of a PBGC Benefit Determination, Page 3
Prev 1 2 3 Next
ADVERTISEMENT