Form NHJB-2826-D Petition and Certificate for Involuntary Emergency Admission (Iea) - New Hampshire

Notification Icon This version of the form is not currently in use and is provided for reference only. Download this version of Form NHJB-2826-D for the current year.

Form NHJB-2826-D Petition and Certificate for Involuntary Emergency Admission (Iea) - New Hampshire

What Is Form NHJB-2826-D?

This is a legal form that was released by the New Hampshire Judicial Branch - a government authority operating within New Hampshire. As of today, no separate filing guidelines for the form are provided by the issuing department.

FAQ

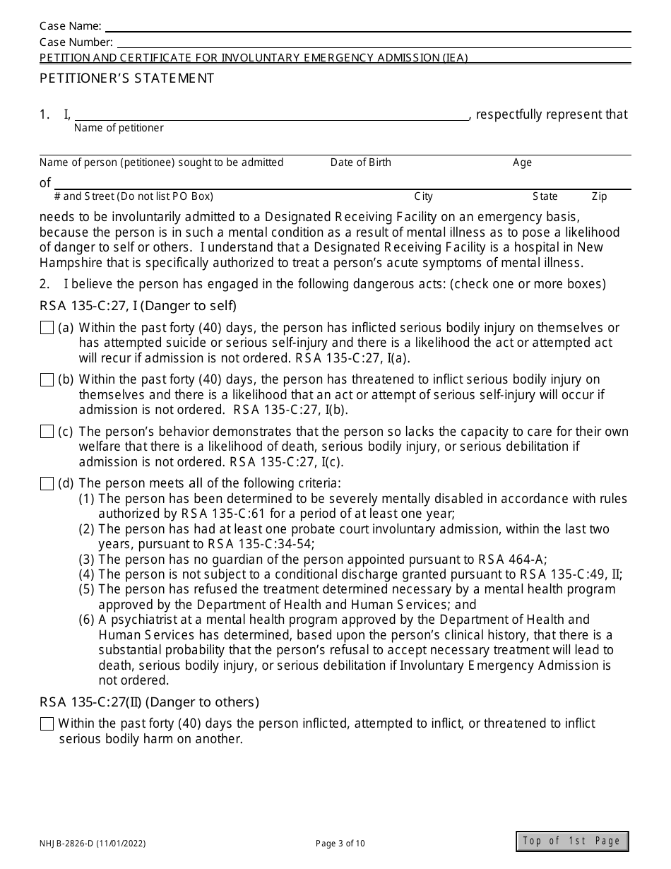
Q: What is Form NHJB-2826-D?
A: Form NHJB-2826-D is a Petition and Certificate for Involuntary Emergency Admission (IEA) in New Hampshire.

Q: What is the purpose of Form NHJB-2826-D?
A: The purpose of Form NHJB-2826-D is to make a petition for an involuntary emergency admission.

Q: Who is this form for?
A: This form is for individuals or organizations who believe that someone requires an involuntary emergency admission.

Q: What is an involuntary emergency admission?
A: An involuntary emergency admission is a process authorized by law in New Hampshire for individuals who are in need of immediate psychiatric evaluation and treatment when there is a concern for their safety or the safety of others.

Q: Do I need a lawyer to fill out this form?
A: You don't necessarily need a lawyer to fill out this form, but it is recommended to seek legal advice if you have any concerns or questions.

ADVERTISEMENT

Form Details:

  • Released on November 1, 2022;
  • The latest edition provided by the New Hampshire Judicial Branch;
  • Easy to use and ready to print;
  • Quick to customize;
  • Compatible with most PDF-viewing applications;
  • Fill out the form in our online filing application.

Download a fillable version of Form NHJB-2826-D by clicking the link below or browse more documents and templates provided by the New Hampshire Judicial Branch.

Download Form NHJB-2826-D Petition and Certificate for Involuntary Emergency Admission (Iea) - New Hampshire

4.3 of 5 (12 votes)
  • Form NHJB-2826-D Petition and Certificate for Involuntary Emergency Admission (Iea) - New Hampshire

    1

  • Form NHJB-2826-D Petition and Certificate for Involuntary Emergency Admission (Iea) - New Hampshire, Page 2

    2

  • Form NHJB-2826-D Petition and Certificate for Involuntary Emergency Admission (Iea) - New Hampshire, Page 3

    3

  • Form NHJB-2826-D Petition and Certificate for Involuntary Emergency Admission (Iea) - New Hampshire, Page 4

    4

  • Form NHJB-2826-D Petition and Certificate for Involuntary Emergency Admission (Iea) - New Hampshire, Page 5

    5

  • Form NHJB-2826-D Petition and Certificate for Involuntary Emergency Admission (Iea) - New Hampshire, Page 6

    6

  • Form NHJB-2826-D Petition and Certificate for Involuntary Emergency Admission (Iea) - New Hampshire, Page 7

    7

  • Form NHJB-2826-D Petition and Certificate for Involuntary Emergency Admission (Iea) - New Hampshire, Page 8

    8

  • Form NHJB-2826-D Petition and Certificate for Involuntary Emergency Admission (Iea) - New Hampshire, Page 9

    9

  • Form NHJB-2826-D Petition and Certificate for Involuntary Emergency Admission (Iea) - New Hampshire, Page 10

    10

  • Form NHJB-2826-D Petition and Certificate for Involuntary Emergency Admission (Iea) - New Hampshire, Page 1
  • Form NHJB-2826-D Petition and Certificate for Involuntary Emergency Admission (Iea) - New Hampshire, Page 2
  • Form NHJB-2826-D Petition and Certificate for Involuntary Emergency Admission (Iea) - New Hampshire, Page 3
  • Form NHJB-2826-D Petition and Certificate for Involuntary Emergency Admission (Iea) - New Hampshire, Page 4
  • Form NHJB-2826-D Petition and Certificate for Involuntary Emergency Admission (Iea) - New Hampshire, Page 5
  • Form NHJB-2826-D Petition and Certificate for Involuntary Emergency Admission (Iea) - New Hampshire, Page 6
  • Form NHJB-2826-D Petition and Certificate for Involuntary Emergency Admission (Iea) - New Hampshire, Page 7
  • Form NHJB-2826-D Petition and Certificate for Involuntary Emergency Admission (Iea) - New Hampshire, Page 8
  • Form NHJB-2826-D Petition and Certificate for Involuntary Emergency Admission (Iea) - New Hampshire, Page 9
  • Form NHJB-2826-D Petition and Certificate for Involuntary Emergency Admission (Iea) - New Hampshire, Page 10
Prev 1 2 3 4 5 ... 10 Next
ADVERTISEMENT