Form MV347 Document Fee Refund Form - Delaware

Notification Icon This version of the form is not currently in use and is provided for reference only. Download this version of Form MV347 for the current year.

Form MV347 Document Fee Refund Form - Delaware

What Is Form MV347?

This is a legal form that was released by the Delaware Department of Transportation - Division of Motor Vehicles - a government authority operating within Delaware. As of today, no separate filing guidelines for the form are provided by the issuing department.

FAQ

Q: What is the Form MV347?
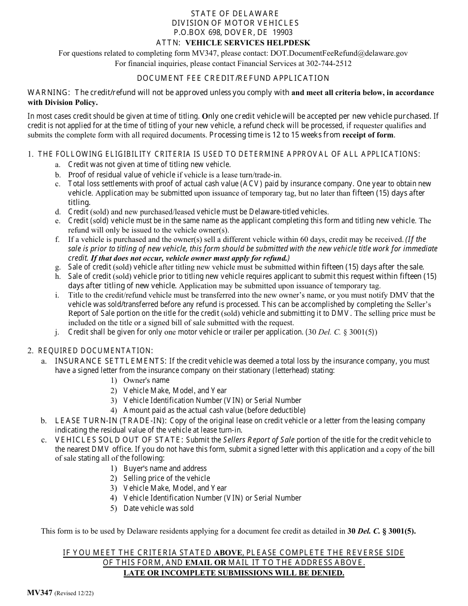
A: Form MV347 is the Document Fee Refund Form for the state of Delaware.

Q: What is the purpose of Form MV347?
A: The purpose of Form MV347 is to apply for a refund of document fees paid to the Delaware Division of Motor Vehicles.

Q: Who can use Form MV347?
A: Any individual or company who has paid document fees to the Delaware Division of Motor Vehicles.

Q: What are document fees?
A: Document fees are fees charged by the Delaware Division of Motor Vehicles for processing various documents related to motor vehicles, such as titles and registration.

Q: What information do I need to provide on Form MV347?
A: You will need to provide your personal information, such as name, address, and driver's license number, as well as details about the document fees you are requesting a refund for.

Q: Is there a deadline for submitting Form MV347?
A: Yes, Form MV347 must be submitted within 180 days of the date the document fee was paid.

Q: How long does it take to get a refund?
A: The processing time for a refund can vary, but it typically takes several weeks.

Q: Are there any fees associated with submitting Form MV347?
A: No, there are no fees associated with submitting Form MV347.

ADVERTISEMENT

Form Details:

  • Released on December 1, 2022;
  • The latest edition provided by the Delaware Department of Transportation - Division of Motor Vehicles;
  • Easy to use and ready to print;
  • Quick to customize;
  • Compatible with most PDF-viewing applications;
  • Fill out the form in our online filing application.

Download a fillable version of Form MV347 by clicking the link below or browse more documents and templates provided by the Delaware Department of Transportation - Division of Motor Vehicles.

Download Form MV347 Document Fee Refund Form - Delaware

4.7 of 5 (15 votes)
  • Form MV347 Document Fee Refund Form - Delaware

    1

  • Form MV347 Document Fee Refund Form - Delaware, Page 2

    2

  • Form MV347 Document Fee Refund Form - Delaware, Page 1
  • Form MV347 Document Fee Refund Form - Delaware, Page 2
Prev 1 2 Next
ADVERTISEMENT