Instructions for Form DC-485 Petition for Restoration of Driving Privilege - Habitual Offender - Virginia

Instructions for Form DC-485 Petition for Restoration of Driving Privilege - Habitual Offender - Virginia

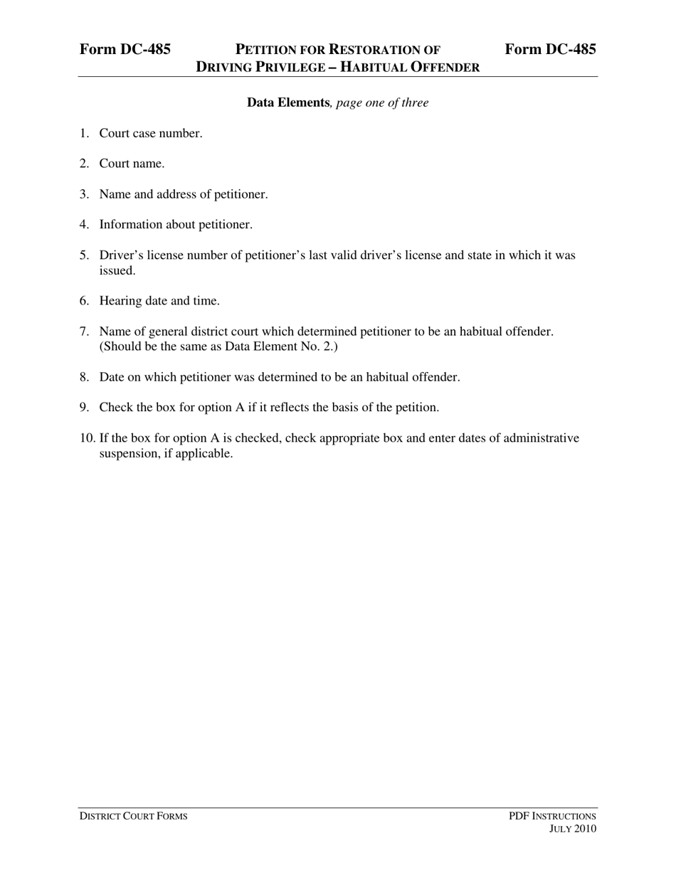
This document contains official instructions for Form DC-485 , Petition for Restoration of Driving Privilege - Habitual Offender - a form released and collected by the Virginia District Court.

FAQ

Q: What is Form DC-485?
A: Form DC-485 is a petition for restoration of driving privilege for individuals who have been declared habitual offenders in the state of Virginia.

Q: Who can use Form DC-485?
A: Form DC-485 can be used by individuals who have had their driving privileges revoked due to being declared habitual offenders in Virginia.

Q: What is a habitual offender?
A: A habitual offender is someone who has been convicted of multiple serious traffic offenses in Virginia within a certain period of time.

Q: What is the purpose of Form DC-485?
A: The purpose of Form DC-485 is to request the restoration of driving privileges for individuals who have been declared habitual offenders.

Q: What information is required on Form DC-485?
A: Form DC-485 requires personal information, details about the convictions that led to the habitual offender status, and a statement explaining why driving privileges should be restored.

Q: What happens after submitting Form DC-485?
A: After submitting Form DC-485, the Virginia DMV will review the petition and supporting documents, and a decision will be made regarding the restoration of driving privileges.

Q: What if my petition is denied?
A: If your petition is denied, you may have the option to request a hearing to further plead your case for the restoration of driving privileges.

ADVERTISEMENT

Instruction Details:

  • This 7-page document is available for download in PDF;
  • Actual and applicable for the current year;
  • Complete, printable, and free.

Download your copy of the instructions by clicking the link below or browse hundreds of other forms in our library of forms released by the Virginia District Court.

Download Instructions for Form DC-485 Petition for Restoration of Driving Privilege - Habitual Offender - Virginia

4.3 of 5 (8 votes)
  • Instructions for Form DC-485 Petition for Restoration of Driving Privilege - Habitual Offender - Virginia

    1

  • Instructions for Form DC-485 Petition for Restoration of Driving Privilege - Habitual Offender - Virginia, Page 2

    2

  • Instructions for Form DC-485 Petition for Restoration of Driving Privilege - Habitual Offender - Virginia, Page 3

    3

  • Instructions for Form DC-485 Petition for Restoration of Driving Privilege - Habitual Offender - Virginia, Page 4

    4

  • Instructions for Form DC-485 Petition for Restoration of Driving Privilege - Habitual Offender - Virginia, Page 5

    5

  • Instructions for Form DC-485 Petition for Restoration of Driving Privilege - Habitual Offender - Virginia, Page 6

    6

  • Instructions for Form DC-485 Petition for Restoration of Driving Privilege - Habitual Offender - Virginia, Page 7

    7

  • Instructions for Form DC-485 Petition for Restoration of Driving Privilege - Habitual Offender - Virginia, Page 1
  • Instructions for Form DC-485 Petition for Restoration of Driving Privilege - Habitual Offender - Virginia, Page 2
  • Instructions for Form DC-485 Petition for Restoration of Driving Privilege - Habitual Offender - Virginia, Page 3
  • Instructions for Form DC-485 Petition for Restoration of Driving Privilege - Habitual Offender - Virginia, Page 4
  • Instructions for Form DC-485 Petition for Restoration of Driving Privilege - Habitual Offender - Virginia, Page 5
  • Instructions for Form DC-485 Petition for Restoration of Driving Privilege - Habitual Offender - Virginia, Page 6
  • Instructions for Form DC-485 Petition for Restoration of Driving Privilege - Habitual Offender - Virginia, Page 7
Prev 1 2 3 4 5 ... 7 Next
ADVERTISEMENT

Related Documents