Sat Math Level 1 Cheat Sheet

Sat Math Level 1 Cheat Sheet

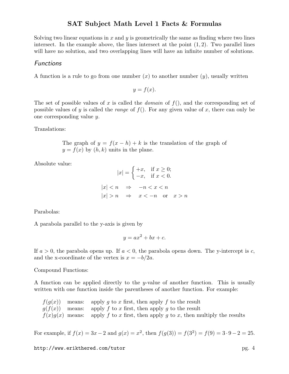
A SAT Math Level 1 cheat sheet is a quick reference guide that provides students with key formulas, concepts, and strategies for solving math problems on the SAT Math Level 1 test. It serves as a handy study tool to help students review important math topics and improve their test performance. It is not an official document provided by the College Board, but rather a resource created by students or educators to assist with test preparation.

FAQ

Q: What is the SAT Math Level 1 exam?
A: The SAT Math Level 1 exam is a standardized test administered by the College Board, typically taken by high school students who excel in math. It assesses mathematical knowledge and skills relevant to college-level math courses.

Q: Why should I take the SAT Math Level 1 exam?
A: Taking the SAT Math Level 1 exam can strengthen your college application, especially if you plan to pursue a math-related field of study. It can demonstrate your proficiency in math and highlight your academic strengths.

Q: What topics are covered in the SAT Math Level 1 exam?
A: The SAT Math Level 1 exam covers a range of topics including algebra, geometry, trigonometry, and basic statistics. It also includes questions related to functions, graphs, and coordinate geometry.

Q: How long is the SAT Math Level 1 exam?
A: The SAT Math Level 1 exam is 60 minutes long, and it consists of 50 multiple-choice questions.

Q: How is the SAT Math Level 1 exam scored?
A: The SAT Math Level 1 exam is scored on a scale of 200-800. Your score is determined by the number of questions you answer correctly, and there are no penalties for incorrect answers.

Q: Can I use a calculator during the SAT Math Level 1 exam?
A: Yes, you are allowed to use a calculator on the SAT Math Level 1 exam. However, it is important to note that not all questions require a calculator, and using effective mental math strategies can also be beneficial.

Q: Are there any SAT Math Level 1 exam tips I should keep in mind?
A: Yes, some general tips for the SAT Math Level 1 exam include managing your time effectively, reading each question carefully, using process of elimination for multiple-choice questions, and practicing pacing during your preparation.

ADVERTISEMENT

Download Sat Math Level 1 Cheat Sheet

4.5 of 5 (8 votes)
  • Sat Math Level 1 Cheat Sheet

    1

  • Sat Math Level 1 Cheat Sheet, Page 2

    2

  • Sat Math Level 1 Cheat Sheet, Page 3

    3

  • Sat Math Level 1 Cheat Sheet, Page 4

    4

  • Sat Math Level 1 Cheat Sheet, Page 5

    5

  • Sat Math Level 1 Cheat Sheet, Page 6

    6

  • Sat Math Level 1 Cheat Sheet, Page 7

    7

  • Sat Math Level 1 Cheat Sheet, Page 8

    8

  • Sat Math Level 1 Cheat Sheet, Page 9

    9

  • SAT Math Level 1 Cheat Sheet
  • Sat Math Level 1 Cheat Sheet, Page 2
  • Sat Math Level 1 Cheat Sheet, Page 3
  • Sat Math Level 1 Cheat Sheet, Page 4
  • Sat Math Level 1 Cheat Sheet, Page 5
  • Sat Math Level 1 Cheat Sheet, Page 6
  • Sat Math Level 1 Cheat Sheet, Page 7
  • Sat Math Level 1 Cheat Sheet, Page 8
  • Sat Math Level 1 Cheat Sheet, Page 9
Prev 1 2 3 4 5 ... 9 Next
ADVERTISEMENT