Form 23A Summons (Original) - Petition for Dissolution of Marriage - Illinois

Form 23A Summons (Original) - Petition for Dissolution of Marriage - Illinois

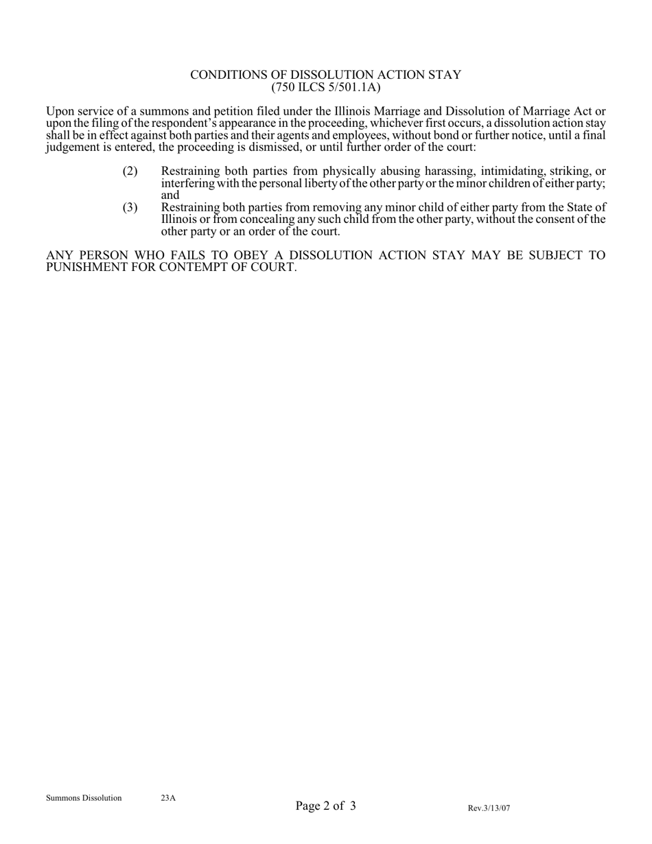
What Is Form 23A?

This is a legal form that was released by the Illinois Second Judicial Circuit Court - a government authority operating within Illinois. As of today, no separate filing guidelines for the form are provided by the issuing department.

FAQ

Q: What is Form 23A Summons?
A: Form 23A Summons is a legal document used in Illinois for a Petition for Dissolution of Marriage.

Q: What is a Petition for Dissolution of Marriage?
A: A Petition for Dissolution of Marriage is a legal document that initiates the process of ending a marriage.

Q: Who uses Form 23A Summons?
A: Form 23A Summons is used by individuals in Illinois who are filing for a divorce or legal separation.

Q: What information is required in Form 23A Summons?
A: Form 23A Summons requires information about the petitioner, respondent, and details of the marriage.

Q: Is there a fee for filing Form 23A Summons?
A: Yes, there is a fee for filing Form 23A Summons. The amount may vary depending on the county.

Q: What is the purpose of Form 23A Summons?
A: The purpose of Form 23A Summons is to officially notify the respondent that a divorce or legal separation case has been filed against them.

Q: What should I do after completing Form 23A Summons?
A: After completing Form 23A Summons, you should file it with the clerk's office and serve a copy to the respondent according to the applicable rules.

Q: What happens after Form 23A Summons is served to the respondent?
A: After Form 23A Summons is served to the respondent, they have a certain period of time to respond to the divorce or legal separation case.

ADVERTISEMENT

Form Details:

  • Released on March 13, 2007;
  • The latest edition provided by the Illinois Second Judicial Circuit Court;
  • Easy to use and ready to print;
  • Quick to customize;
  • Compatible with most PDF-viewing applications;
  • Fill out the form in our online filing application.

Download a fillable version of Form 23A by clicking the link below or browse more documents and templates provided by the Illinois Second Judicial Circuit Court.

Download Form 23A Summons (Original) - Petition for Dissolution of Marriage - Illinois

4.7 of 5 (23 votes)
  • Form 23A Summons (Original) - Petition for Dissolution of Marriage - Illinois

    1

  • Form 23A Summons (Original) - Petition for Dissolution of Marriage - Illinois, Page 2

    2

  • Form 23A Summons (Original) - Petition for Dissolution of Marriage - Illinois, Page 3

    3

  • Form 23A Summons (Original) - Petition for Dissolution of Marriage - Illinois, Page 1
  • Form 23A Summons (Original) - Petition for Dissolution of Marriage - Illinois, Page 2
  • Form 23A Summons (Original) - Petition for Dissolution of Marriage - Illinois, Page 3
Prev 1 2 3 Next
ADVERTISEMENT

Related Documents