Form A-45 Application Concerning Failure to Furnish Financial Statement - Ontario, Canada

Form A-45 Application Concerning Failure to Furnish Financial Statement - Ontario, Canada

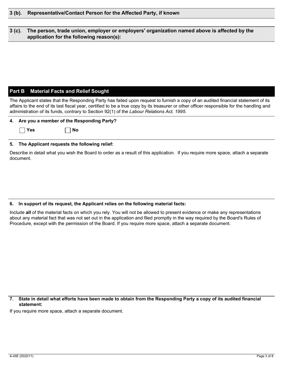
Form A-45 is the Application Concerning Failure to Furnish Financial Statement in Ontario, Canada. This form is used by the Ministry of Transportation when an individual fails to provide their financial statement (proof of financial responsibility) as required under the Compulsory Automobile Insurance Act. The form is typically used in situations where an individual has been involved in a motor vehicle accident and is unable to provide evidence of adequate insurance coverage. The form is used to request information and documentation from the individual regarding their financial status. It is important to comply with this requirement as failure to do so may result in the suspension of your driver's license.

The Form A-45 Application Concerning Failure to Furnish Financial Statement in Ontario, Canada is filed by the judgment creditor. The judgment creditor is the person or entity who has obtained a judgment in their favor from the court and is seeking to enforce the judgment by requesting information about the judgment debtor's financial situation.

FAQ

Q: What is Form A-45?
A: Form A-45 is an application form used in Ontario, Canada to address the failure to furnish a financial statement.

Q: Who needs to fill out Form A-45?
A: Form A-45 is typically filled out by individuals or businesses who have failed to provide a required financial statement in Ontario, Canada.

Q: What is the purpose of Form A-45?
A: The purpose of Form A-45 is to request relief from the requirement to furnish a financial statement and to explain the reasons for the failure.

Q: How do I fill out Form A-45?
A: You will need to provide your personal information, details about your failure to furnish a financial statement, and any supporting documents or evidence to explain the reasons for the failure.

Q: What happens after I submit Form A-45?
A: After you submit Form A-45, your application will be reviewed by a court official. They will consider the information provided and make a decision on whether to grant relief from the requirement to furnish a financial statement.

Q: Can I appeal the decision made on my Form A-45 application?
A: Yes, if you are not satisfied with the decision made on your Form A-45 application, you may have the option to appeal the decision. You should consult with a legal professional for guidance on the appeals process in Ontario, Canada.

Q: Is legal representation required to fill out Form A-45?
A: While legal representation is not required to fill out Form A-45, it is recommended to seek legal advice if you have any concerns or questions about the application process or the specific circumstances surrounding the failure to furnish a financial statement.

ADVERTISEMENT

Download Form A-45 Application Concerning Failure to Furnish Financial Statement - Ontario, Canada

4.6 of 5 (17 votes)
  • Form A-45 Application Concerning Failure to Furnish Financial Statement - Ontario, Canada

    1

  • Form A-45 Application Concerning Failure to Furnish Financial Statement - Ontario, Canada, Page 2

    2

  • Form A-45 Application Concerning Failure to Furnish Financial Statement - Ontario, Canada, Page 3

    3

  • Form A-45 Application Concerning Failure to Furnish Financial Statement - Ontario, Canada, Page 4

    4

  • Form A-45 Application Concerning Failure to Furnish Financial Statement - Ontario, Canada, Page 5

    5

  • Form A-45 Application Concerning Failure to Furnish Financial Statement - Ontario, Canada, Page 6

    6

  • Form A-45 Application Concerning Failure to Furnish Financial Statement - Ontario, Canada, Page 7

    7

  • Form A-45 Application Concerning Failure to Furnish Financial Statement - Ontario, Canada, Page 8

    8

  • Form A-45 Application Concerning Failure to Furnish Financial Statement - Ontario, Canada, Page 1
  • Form A-45 Application Concerning Failure to Furnish Financial Statement - Ontario, Canada, Page 2
  • Form A-45 Application Concerning Failure to Furnish Financial Statement - Ontario, Canada, Page 3
  • Form A-45 Application Concerning Failure to Furnish Financial Statement - Ontario, Canada, Page 4
  • Form A-45 Application Concerning Failure to Furnish Financial Statement - Ontario, Canada, Page 5
  • Form A-45 Application Concerning Failure to Furnish Financial Statement - Ontario, Canada, Page 6
  • Form A-45 Application Concerning Failure to Furnish Financial Statement - Ontario, Canada, Page 7
  • Form A-45 Application Concerning Failure to Furnish Financial Statement - Ontario, Canada, Page 8
Prev 1 2 3 4 5 ... 8 Next
ADVERTISEMENT

Related Documents