Form NHJB-2253-F Juvenile Abuse / Neglect Order Post-permanency Hearing - New Hampshire

Notification Icon This version of the form is not currently in use and is provided for reference only. Download this version of Form NHJB-2253-F for the current year.

Form NHJB-2253-F Juvenile Abuse / Neglect Order Post-permanency Hearing - New Hampshire

What Is Form NHJB-2253-F?

This is a legal form that was released by the New Hampshire Judicial Branch - a government authority operating within New Hampshire. As of today, no separate filing guidelines for the form are provided by the issuing department.

FAQ

Q: What is NHJB-2253-F?
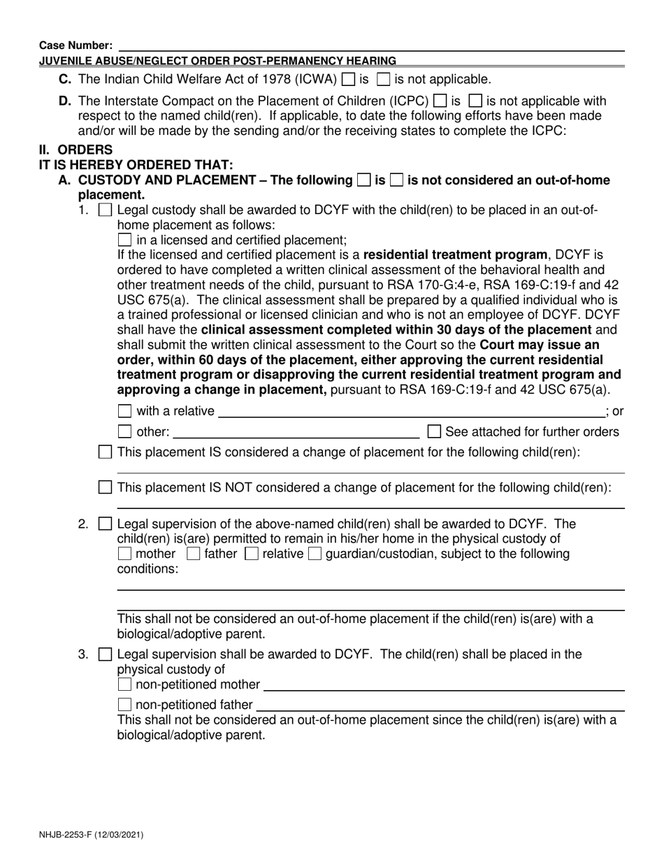
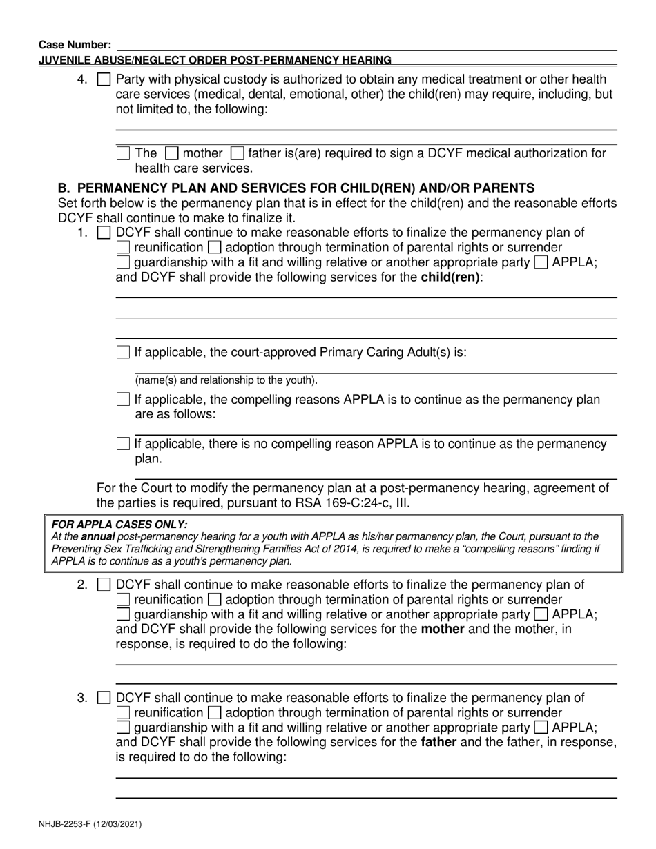
A: NHJB-2253-F is a form used for a Juvenile Abuse/Neglect Order Post-permanency Hearing in New Hampshire.

Q: What is a Juvenile Abuse/Neglect Order?
A: A Juvenile Abuse/Neglect Order is a court order related to cases involving child abuse or neglect.

Q: What is a Post-permanency Hearing?
A: A Post-permanency Hearing is a court hearing that takes place after a child has been placed in a permanent living arrangement, such as adoption or guardianship.

Q: What is the purpose of NHJB-2253-F?
A: The purpose of NHJB-2253-F is to provide a standardized form for conducting a Juvenile Abuse/Neglect Order Post-permanency Hearing.

ADVERTISEMENT

Form Details:

  • Released on December 3, 2021;
  • The latest edition provided by the New Hampshire Judicial Branch;
  • Easy to use and ready to print;
  • Quick to customize;
  • Compatible with most PDF-viewing applications;
  • Fill out the form in our online filing application.

Download a fillable version of Form NHJB-2253-F by clicking the link below or browse more documents and templates provided by the New Hampshire Judicial Branch.

Download Form NHJB-2253-F Juvenile Abuse / Neglect Order Post-permanency Hearing - New Hampshire

4.6 of 5 (9 votes)
  • Form NHJB-2253-F Juvenile Abuse/Neglect Order Post-permanency Hearing - New Hampshire

    1

  • Form NHJB-2253-F Juvenile Abuse/Neglect Order Post-permanency Hearing - New Hampshire, Page 2

    2

  • Form NHJB-2253-F Juvenile Abuse/Neglect Order Post-permanency Hearing - New Hampshire, Page 3

    3

  • Form NHJB-2253-F Juvenile Abuse/Neglect Order Post-permanency Hearing - New Hampshire, Page 4

    4

  • Form NHJB-2253-F Juvenile Abuse/Neglect Order Post-permanency Hearing - New Hampshire, Page 5

    5

  • Form NHJB-2253-F Juvenile Abuse/Neglect Order Post-permanency Hearing - New Hampshire, Page 6

    6

  • Form NHJB-2253-F Juvenile Abuse / Neglect Order Post-permanency Hearing - New Hampshire, Page 1
  • Form NHJB-2253-F Juvenile Abuse / Neglect Order Post-permanency Hearing - New Hampshire, Page 2
  • Form NHJB-2253-F Juvenile Abuse / Neglect Order Post-permanency Hearing - New Hampshire, Page 3
  • Form NHJB-2253-F Juvenile Abuse / Neglect Order Post-permanency Hearing - New Hampshire, Page 4
  • Form NHJB-2253-F Juvenile Abuse / Neglect Order Post-permanency Hearing - New Hampshire, Page 5
  • Form NHJB-2253-F Juvenile Abuse / Neglect Order Post-permanency Hearing - New Hampshire, Page 6
Prev 1 2 3 4 5 6 Next
ADVERTISEMENT

Related Documents