Form FFIEC051 (FFIEC041) Optional Worksheet for Calculating Call Report Applicable Income Taxes

Form FFIEC051 (FFIEC041) Optional Worksheet for Calculating Call Report Applicable Income Taxes

What Is Form FFIEC051 (FFIEC041)?

This is a legal form that was released by the Federal Financial Institutions Examination Council on March 31, 2023 and used country-wide. As of today, no separate filing guidelines for the form are provided by the issuing department.

FAQ

Q: What is Form FFIEC051?
A: Form FFIEC051 is an optional worksheet used to calculate the applicable income taxes for a Call Report.

Q: What is the purpose of Form FFIEC051?
A: The purpose of Form FFIEC051 is to provide a way for banks to calculate their income taxes for the Call Report.

Q: Which Call Report is Form FFIEC051 used for?
A: Form FFIEC051 is used for the FFIEC041 Call Report.

Q: Is Form FFIEC051 mandatory to fill out?
A: No, Form FFIEC051 is optional and banks can choose to use it to assist in calculating their income taxes.

Q: What information is needed to complete Form FFIEC051?
A: To complete Form FFIEC051, banks would need to provide information such as taxable interest income, non-taxable interest income, and net operating loss deductions.

ADVERTISEMENT

Form Details:

  • Released on March 31, 2023;
  • The latest available edition released by the Federal Financial Institutions Examination Council;
  • Easy to use and ready to print;
  • Yours to fill out and keep for your records;
  • Compatible with most PDF-viewing applications;
  • Fill out the form in our online filing application.

Download a printable version of Form FFIEC051 (FFIEC041) by clicking the link below or browse more documents and templates provided by the Federal Financial Institutions Examination Council.

Download Form FFIEC051 (FFIEC041) Optional Worksheet for Calculating Call Report Applicable Income Taxes

4.8 of 5 (28 votes)
  • Form FFIEC051 (FFIEC041) Optional Worksheet for Calculating Call Report Applicable Income Taxes

    1

  • Form FFIEC051 (FFIEC041) Optional Worksheet for Calculating Call Report Applicable Income Taxes, Page 2

    2

  • Form FFIEC051 (FFIEC041) Optional Worksheet for Calculating Call Report Applicable Income Taxes, Page 3

    3

  • Form FFIEC051 (FFIEC041) Optional Worksheet for Calculating Call Report Applicable Income Taxes, Page 4

    4

  • Form FFIEC051 (FFIEC041) Optional Worksheet for Calculating Call Report Applicable Income Taxes, Page 5

    5

  • Form FFIEC051 (FFIEC041) Optional Worksheet for Calculating Call Report Applicable Income Taxes, Page 6

    6

  • Form FFIEC051 (FFIEC041) Optional Worksheet for Calculating Call Report Applicable Income Taxes, Page 7

    7

  • Form FFIEC051 (FFIEC041) Optional Worksheet for Calculating Call Report Applicable Income Taxes, Page 8

    8

  • Form FFIEC051 (FFIEC041) Optional Worksheet for Calculating Call Report Applicable Income Taxes, Page 9

    9

  • Form FFIEC051 (FFIEC041) Optional Worksheet for Calculating Call Report Applicable Income Taxes, Page 10

    10

  • Form FFIEC051 (FFIEC041) Optional Worksheet for Calculating Call Report Applicable Income Taxes, Page 11

    11

  • Form FFIEC051 (FFIEC041) Optional Worksheet for Calculating Call Report Applicable Income Taxes, Page 12

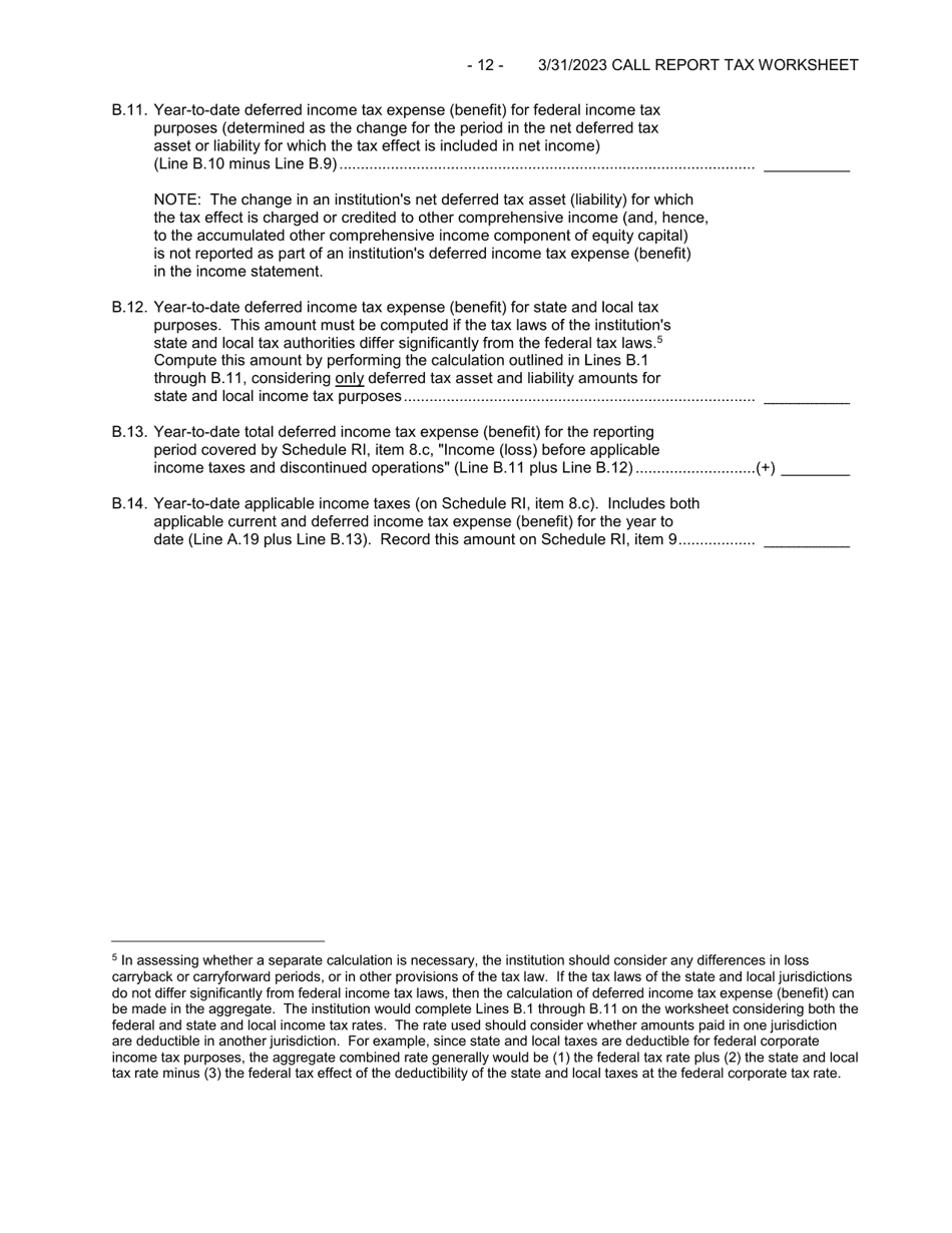
    12

  • Form FFIEC051 (FFIEC041) Optional Worksheet for Calculating Call Report Applicable Income Taxes, Page 1
  • Form FFIEC051 (FFIEC041) Optional Worksheet for Calculating Call Report Applicable Income Taxes, Page 2
  • Form FFIEC051 (FFIEC041) Optional Worksheet for Calculating Call Report Applicable Income Taxes, Page 3
  • Form FFIEC051 (FFIEC041) Optional Worksheet for Calculating Call Report Applicable Income Taxes, Page 4
  • Form FFIEC051 (FFIEC041) Optional Worksheet for Calculating Call Report Applicable Income Taxes, Page 5
  • Form FFIEC051 (FFIEC041) Optional Worksheet for Calculating Call Report Applicable Income Taxes, Page 6
  • Form FFIEC051 (FFIEC041) Optional Worksheet for Calculating Call Report Applicable Income Taxes, Page 7
  • Form FFIEC051 (FFIEC041) Optional Worksheet for Calculating Call Report Applicable Income Taxes, Page 8
  • Form FFIEC051 (FFIEC041) Optional Worksheet for Calculating Call Report Applicable Income Taxes, Page 9
  • Form FFIEC051 (FFIEC041) Optional Worksheet for Calculating Call Report Applicable Income Taxes, Page 10
  • Form FFIEC051 (FFIEC041) Optional Worksheet for Calculating Call Report Applicable Income Taxes, Page 11
  • Form FFIEC051 (FFIEC041) Optional Worksheet for Calculating Call Report Applicable Income Taxes, Page 12
Prev 1 2 3 4 5 ... 12 Next
ADVERTISEMENT

Related Documents