Form MH-2.3 (3C-P-514) Order Finding Defendant Unfit to Proceed, Suspending Proceedings, and Releasing Defendant on Conditions - Hawaii

Form MH-2.3 (3C-P-514) Order Finding Defendant Unfit to Proceed, Suspending Proceedings, and Releasing Defendant on Conditions - Hawaii

What Is Form MH-2.3 (3C-P-514)?

This is a legal form that was released by the Hawaii State Judiciary - a government authority operating within Hawaii. As of today, no separate filing guidelines for the form are provided by the issuing department.

FAQ

Q: What is form MH-2.3 (3C-P-514)?
A: Form MH-2.3 (3C-P-514) is an order finding a defendant unfit to proceed, suspending proceedings, and releasing the defendant on conditions in the state of Hawaii.

Q: What does the form MH-2.3 (3C-P-514) do?
A: The form is used to declare a defendant unfit to proceed with legal proceedings, suspend those proceedings, and release the defendant on certain conditions.

Q: Who can use form MH-2.3 (3C-P-514)?
A: This form can be used by the court or the legal authorities involved in a case in Hawaii to declare a defendant unfit to proceed and release them on certain conditions.

Q: What happens when a defendant is found unfit to proceed?
A: When a defendant is found unfit to proceed, the legal proceedings are suspended, and the defendant is released on conditions determined by the court.

Q: What are the conditions for releasing a defendant found unfit to proceed?
A: The specific conditions for releasing a defendant found unfit to proceed vary and depend on the individual case. These conditions may include mental health treatment, regular check-ins with a probation officer, or restrictions on contact with certain individuals or locations.

ADVERTISEMENT

Form Details:

  • Released on March 1, 2023;
  • The latest edition provided by the Hawaii State Judiciary;
  • Easy to use and ready to print;
  • Quick to customize;
  • Compatible with most PDF-viewing applications;
  • Fill out the form in our online filing application.

Download a fillable version of Form MH-2.3 (3C-P-514) by clicking the link below or browse more documents and templates provided by the Hawaii State Judiciary.

Download Form MH-2.3 (3C-P-514) Order Finding Defendant Unfit to Proceed, Suspending Proceedings, and Releasing Defendant on Conditions - Hawaii

4.4 of 5 (30 votes)
  • Form MH-2.3 (3C-P-514) Order Finding Defendant Unfit to Proceed, Suspending Proceedings, and Releasing Defendant on Conditions - Hawaii

    1

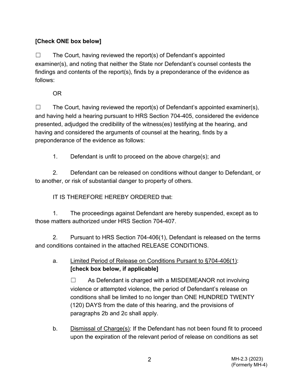
  • Form MH-2.3 (3C-P-514) Order Finding Defendant Unfit to Proceed, Suspending Proceedings, and Releasing Defendant on Conditions - Hawaii, Page 2

    2

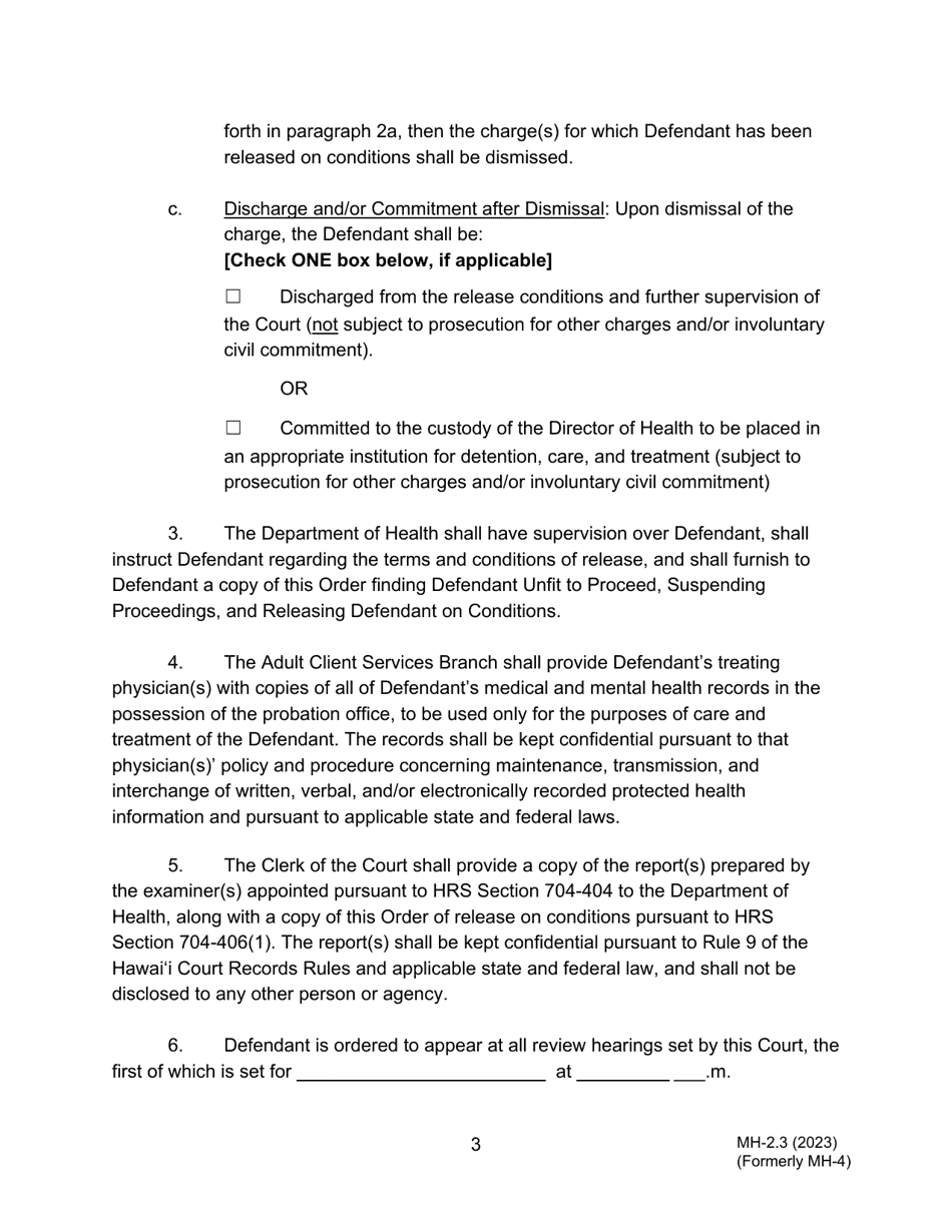
  • Form MH-2.3 (3C-P-514) Order Finding Defendant Unfit to Proceed, Suspending Proceedings, and Releasing Defendant on Conditions - Hawaii, Page 3

    3

  • Form MH-2.3 (3C-P-514) Order Finding Defendant Unfit to Proceed, Suspending Proceedings, and Releasing Defendant on Conditions - Hawaii, Page 4

    4

  • Form MH-2.3 (3C-P-514) Order Finding Defendant Unfit to Proceed, Suspending Proceedings, and Releasing Defendant on Conditions - Hawaii, Page 5

    5

  • Form MH-2.3 (3C-P-514) Order Finding Defendant Unfit to Proceed, Suspending Proceedings, and Releasing Defendant on Conditions - Hawaii, Page 6

    6

  • Form MH-2.3 (3C-P-514) Order Finding Defendant Unfit to Proceed, Suspending Proceedings, and Releasing Defendant on Conditions - Hawaii, Page 7

    7

  • Form MH-2.3 (3C-P-514) Order Finding Defendant Unfit to Proceed, Suspending Proceedings, and Releasing Defendant on Conditions - Hawaii, Page 1
  • Form MH-2.3 (3C-P-514) Order Finding Defendant Unfit to Proceed, Suspending Proceedings, and Releasing Defendant on Conditions - Hawaii, Page 2
  • Form MH-2.3 (3C-P-514) Order Finding Defendant Unfit to Proceed, Suspending Proceedings, and Releasing Defendant on Conditions - Hawaii, Page 3
  • Form MH-2.3 (3C-P-514) Order Finding Defendant Unfit to Proceed, Suspending Proceedings, and Releasing Defendant on Conditions - Hawaii, Page 4
  • Form MH-2.3 (3C-P-514) Order Finding Defendant Unfit to Proceed, Suspending Proceedings, and Releasing Defendant on Conditions - Hawaii, Page 5
  • Form MH-2.3 (3C-P-514) Order Finding Defendant Unfit to Proceed, Suspending Proceedings, and Releasing Defendant on Conditions - Hawaii, Page 6
  • Form MH-2.3 (3C-P-514) Order Finding Defendant Unfit to Proceed, Suspending Proceedings, and Releasing Defendant on Conditions - Hawaii, Page 7
Prev 1 2 3 4 5 ... 7 Next
ADVERTISEMENT

Related Documents