Application for Cost-Share Grant to Install Deer Fencing on Unpreserved Farmland - New Jersey

Application for Cost-Share Grant to Install Deer Fencing on Unpreserved Farmland - New Jersey

Application for Cost-Share Grant to Install Deer Fencing on Unpreserved Farmland is a legal document that was released by the New Jersey Department of Agriculture - a government authority operating within New Jersey.

FAQ

Q: What is the purpose of the cost-share grant?
A: The cost-share grant is for installing deer fencing on unpreserved farmland.

Q: Who is eligible for the cost-share grant?
A: Farmers in New Jersey who have unpreserved farmland.

Q: What does the cost-share grant cover?
A: The grant covers a portion of the costs for installing deer fencing.

Q: How can farmers apply for the grant?
A: Farmers can fill out an application for the cost-share grant.

Q: Is there a deadline to apply for the grant?
A: Yes, there is a deadline for submitting the grant application.

ADVERTISEMENT

Form Details:

  • Released on May 15, 2023;
  • The latest edition currently provided by the New Jersey Department of Agriculture;
  • Ready to use and print;
  • Easy to customize;
  • Compatible with most PDF-viewing applications;
  • Fill out the form in our online filing application.

Download a fillable version of the form by clicking the link below or browse more documents and templates provided by the New Jersey Department of Agriculture.

Download Application for Cost-Share Grant to Install Deer Fencing on Unpreserved Farmland - New Jersey

4.7 of 5 (29 votes)
  • Application for Cost-Share Grant to Install Deer Fencing on Unpreserved Farmland - New Jersey

    1

  • Application for Cost-Share Grant to Install Deer Fencing on Unpreserved Farmland - New Jersey, Page 2

    2

  • Application for Cost-Share Grant to Install Deer Fencing on Unpreserved Farmland - New Jersey, Page 3

    3

  • Application for Cost-Share Grant to Install Deer Fencing on Unpreserved Farmland - New Jersey, Page 4

    4

  • Application for Cost-Share Grant to Install Deer Fencing on Unpreserved Farmland - New Jersey, Page 5

    5

  • Application for Cost-Share Grant to Install Deer Fencing on Unpreserved Farmland - New Jersey, Page 6

    6

  • Application for Cost-Share Grant to Install Deer Fencing on Unpreserved Farmland - New Jersey, Page 7

    7

  • Application for Cost-Share Grant to Install Deer Fencing on Unpreserved Farmland - New Jersey, Page 8

    8

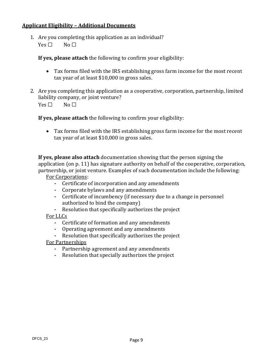
  • Application for Cost-Share Grant to Install Deer Fencing on Unpreserved Farmland - New Jersey, Page 9

    9

  • Application for Cost-Share Grant to Install Deer Fencing on Unpreserved Farmland - New Jersey, Page 10

    10

  • Application for Cost-Share Grant to Install Deer Fencing on Unpreserved Farmland - New Jersey, Page 11

    11

  • Application for Cost-Share Grant to Install Deer Fencing on Unpreserved Farmland - New Jersey, Page 12

    12

  • Application for Cost-Share Grant to Install Deer Fencing on Unpreserved Farmland - New Jersey, Page 13

    13

  • Application for Cost-Share Grant to Install Deer Fencing on Unpreserved Farmland - New Jersey, Page 14

    14

  • Application for Cost-Share Grant to Install Deer Fencing on Unpreserved Farmland - New Jersey, Page 1
  • Application for Cost-Share Grant to Install Deer Fencing on Unpreserved Farmland - New Jersey, Page 2
  • Application for Cost-Share Grant to Install Deer Fencing on Unpreserved Farmland - New Jersey, Page 3
  • Application for Cost-Share Grant to Install Deer Fencing on Unpreserved Farmland - New Jersey, Page 4
  • Application for Cost-Share Grant to Install Deer Fencing on Unpreserved Farmland - New Jersey, Page 5
  • Application for Cost-Share Grant to Install Deer Fencing on Unpreserved Farmland - New Jersey, Page 6
  • Application for Cost-Share Grant to Install Deer Fencing on Unpreserved Farmland - New Jersey, Page 7
  • Application for Cost-Share Grant to Install Deer Fencing on Unpreserved Farmland - New Jersey, Page 8
  • Application for Cost-Share Grant to Install Deer Fencing on Unpreserved Farmland - New Jersey, Page 9
  • Application for Cost-Share Grant to Install Deer Fencing on Unpreserved Farmland - New Jersey, Page 10
  • Application for Cost-Share Grant to Install Deer Fencing on Unpreserved Farmland - New Jersey, Page 11
  • Application for Cost-Share Grant to Install Deer Fencing on Unpreserved Farmland - New Jersey, Page 12
  • Application for Cost-Share Grant to Install Deer Fencing on Unpreserved Farmland - New Jersey, Page 13
  • Application for Cost-Share Grant to Install Deer Fencing on Unpreserved Farmland - New Jersey, Page 14
Prev 1 2 3 4 5 ... 14 Next
ADVERTISEMENT