Form DCC-95 Application for Registered Relative Child Care Provider in Provider's Home - Kentucky

Form DCC-95 Application for Registered Relative Child Care Provider in Provider's Home - Kentucky

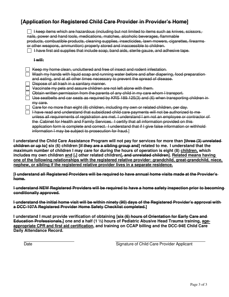
What Is Form DCC-95?

This is a legal form that was released by the Kentucky Department for Community Based Services - a government authority operating within Kentucky. As of today, no separate filing guidelines for the form are provided by the issuing department.

FAQ

Q: What is Form DCC-95?
A: Form DCC-95 is an application for becoming a registered relative child care provider in Kentucky.

Q: Who is eligible to apply for a registered relative child care provider?
A: Individuals who are related to the child being cared for and wish to provide child care in their home in Kentucky.

Q: What is the purpose of this form?
A: This form is used to gather information and assess the suitability of the applicant to become a registered relative child care provider.

Q: What information is required on Form DCC-95?
A: The form requires information about the applicant, including personal details, background information, and references.

Q: Is there a fee for submitting this form?
A: There may be a fee associated with the application process. It is best to contact the relevant department for the most accurate and up-to-date information.

Q: What happens after submitting Form DCC-95?
A: After submitting the form, the application will be reviewed, and the applicant may be contacted for further information or an interview.

Q: Is there a specific deadline for submitting this form?
A: There may be specific deadlines for submitting the form. It is recommended to consult the instructions or contact the relevant department for the deadline information.

Q: Can I provide child care in my home without becoming a registered relative child care provider?
A: In Kentucky, it is generally required to be a registered relative child care provider in order to provide child care in your home. It is important to follow the state regulations and requirements.

ADVERTISEMENT

Form Details:

  • Released on January 1, 2023;
  • The latest edition provided by the Kentucky Department for Community Based Services;
  • Easy to use and ready to print;
  • Quick to customize;
  • Compatible with most PDF-viewing applications;
  • Fill out the form in our online filing application.

Download a printable version of Form DCC-95 by clicking the link below or browse more documents and templates provided by the Kentucky Department for Community Based Services.

Download Form DCC-95 Application for Registered Relative Child Care Provider in Provider's Home - Kentucky

4.3 of 5 (20 votes)
  • Form DCC-95 Application for Registered Relative Child Care Provider in Provider's Home - Kentucky

    1

  • Form DCC-95 Application for Registered Relative Child Care Provider in Provider's Home - Kentucky, Page 2

    2

  • Form DCC-95 Application for Registered Relative Child Care Provider in Provider's Home - Kentucky, Page 3

    3

  • Form DCC-95 Application for Registered Relative Child Care Provider in Providers Home - Kentucky, Page 1
  • Form DCC-95 Application for Registered Relative Child Care Provider in Providers Home - Kentucky, Page 2
  • Form DCC-95 Application for Registered Relative Child Care Provider in Providers Home - Kentucky, Page 3
Prev 1 2 3 Next
ADVERTISEMENT