Form HUD-2510 Legal Instructions Concerning Applications for Full Insurance Benefits - Assignment of Multifamily and Healthcare Mortgages to the Secretary

Form HUD-2510 Legal Instructions Concerning Applications for Full Insurance Benefits - Assignment of Multifamily and Healthcare Mortgages to the Secretary

What Is Form HUD-2510?

This is a legal form that was released by the U.S. Department of Housing and Urban Development and used country-wide. As of today, no separate filing guidelines for the form are provided by the issuing department.

FAQ

Q: What is Form HUD-2510?
A: Form HUD-2510 is a legal document related to the assignment of multifamily and healthcare mortgages to the Secretary.

Q: What does Form HUD-2510 entail?
A: Form HUD-2510 contains legal instructions concerning applications for full insurance benefits.

Q: Who is the Secretary mentioned in Form HUD-2510?
A: The Secretary refers to the Secretary of the Department of Housing and Urban Development (HUD).

Q: What type of mortgages does Form HUD-2510 pertain to?
A: Form HUD-2510 pertains to multifamily and healthcare mortgages.

Q: Why is the assignment of mortgages to the Secretary necessary?
A: Assigning mortgages to the Secretary allows for full insurance benefits to be obtained.

Q: Are there any specific instructions or requirements in Form HUD-2510?
A: Yes, Form HUD-2510 includes specific legal instructions and requirements for the assignment of mortgages to the Secretary.

ADVERTISEMENT

Form Details:

  • The latest available edition released by the U.S. Department of Housing and Urban Development;
  • Easy to use and ready to print;
  • Yours to fill out and keep for your records;
  • Compatible with most PDF-viewing applications;
  • Fill out the form in our online filing application.

Download a printable version of Form HUD-2510 by clicking the link below or browse more documents and templates provided by the U.S. Department of Housing and Urban Development.

Download Form HUD-2510 Legal Instructions Concerning Applications for Full Insurance Benefits - Assignment of Multifamily and Healthcare Mortgages to the Secretary

4.8 of 5 (31 votes)
  • Form HUD-2510 Legal Instructions Concerning Applications for Full Insurance Benefits - Assignment of Multifamily and Healthcare Mortgages to the Secretary

    1

  • Form HUD-2510 Legal Instructions Concerning Applications for Full Insurance Benefits - Assignment of Multifamily and Healthcare Mortgages to the Secretary, Page 2

    2

  • Form HUD-2510 Legal Instructions Concerning Applications for Full Insurance Benefits - Assignment of Multifamily and Healthcare Mortgages to the Secretary, Page 3

    3

  • Form HUD-2510 Legal Instructions Concerning Applications for Full Insurance Benefits - Assignment of Multifamily and Healthcare Mortgages to the Secretary, Page 4

    4

  • Form HUD-2510 Legal Instructions Concerning Applications for Full Insurance Benefits - Assignment of Multifamily and Healthcare Mortgages to the Secretary, Page 5

    5

  • Form HUD-2510 Legal Instructions Concerning Applications for Full Insurance Benefits - Assignment of Multifamily and Healthcare Mortgages to the Secretary, Page 6

    6

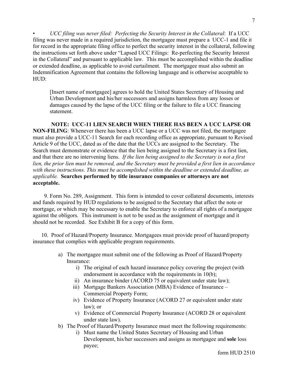
  • Form HUD-2510 Legal Instructions Concerning Applications for Full Insurance Benefits - Assignment of Multifamily and Healthcare Mortgages to the Secretary, Page 7

    7

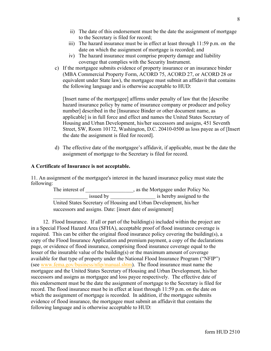
  • Form HUD-2510 Legal Instructions Concerning Applications for Full Insurance Benefits - Assignment of Multifamily and Healthcare Mortgages to the Secretary, Page 8

    8

  • Form HUD-2510 Legal Instructions Concerning Applications for Full Insurance Benefits - Assignment of Multifamily and Healthcare Mortgages to the Secretary, Page 9

    9

  • Form HUD-2510 Legal Instructions Concerning Applications for Full Insurance Benefits - Assignment of Multifamily and Healthcare Mortgages to the Secretary, Page 10

    10

  • Form HUD-2510 Legal Instructions Concerning Applications for Full Insurance Benefits - Assignment of Multifamily and Healthcare Mortgages to the Secretary, Page 11

    11

  • Form HUD-2510 Legal Instructions Concerning Applications for Full Insurance Benefits - Assignment of Multifamily and Healthcare Mortgages to the Secretary, Page 12

    12

  • Form HUD-2510 Legal Instructions Concerning Applications for Full Insurance Benefits - Assignment of Multifamily and Healthcare Mortgages to the Secretary, Page 13

    13

  • Form HUD-2510 Legal Instructions Concerning Applications for Full Insurance Benefits - Assignment of Multifamily and Healthcare Mortgages to the Secretary, Page 1
  • Form HUD-2510 Legal Instructions Concerning Applications for Full Insurance Benefits - Assignment of Multifamily and Healthcare Mortgages to the Secretary, Page 2
  • Form HUD-2510 Legal Instructions Concerning Applications for Full Insurance Benefits - Assignment of Multifamily and Healthcare Mortgages to the Secretary, Page 3
  • Form HUD-2510 Legal Instructions Concerning Applications for Full Insurance Benefits - Assignment of Multifamily and Healthcare Mortgages to the Secretary, Page 4
  • Form HUD-2510 Legal Instructions Concerning Applications for Full Insurance Benefits - Assignment of Multifamily and Healthcare Mortgages to the Secretary, Page 5
  • Form HUD-2510 Legal Instructions Concerning Applications for Full Insurance Benefits - Assignment of Multifamily and Healthcare Mortgages to the Secretary, Page 6
  • Form HUD-2510 Legal Instructions Concerning Applications for Full Insurance Benefits - Assignment of Multifamily and Healthcare Mortgages to the Secretary, Page 7
  • Form HUD-2510 Legal Instructions Concerning Applications for Full Insurance Benefits - Assignment of Multifamily and Healthcare Mortgages to the Secretary, Page 8
  • Form HUD-2510 Legal Instructions Concerning Applications for Full Insurance Benefits - Assignment of Multifamily and Healthcare Mortgages to the Secretary, Page 9
  • Form HUD-2510 Legal Instructions Concerning Applications for Full Insurance Benefits - Assignment of Multifamily and Healthcare Mortgages to the Secretary, Page 10
  • Form HUD-2510 Legal Instructions Concerning Applications for Full Insurance Benefits - Assignment of Multifamily and Healthcare Mortgages to the Secretary, Page 11
  • Form HUD-2510 Legal Instructions Concerning Applications for Full Insurance Benefits - Assignment of Multifamily and Healthcare Mortgages to the Secretary, Page 12
  • Form HUD-2510 Legal Instructions Concerning Applications for Full Insurance Benefits - Assignment of Multifamily and Healthcare Mortgages to the Secretary, Page 13
Prev 1 2 3 4 5 ... 13 Next
ADVERTISEMENT