Army
Business
Legal
Letters
Life
Real Estate
Tax
Wills
Blog
Upload
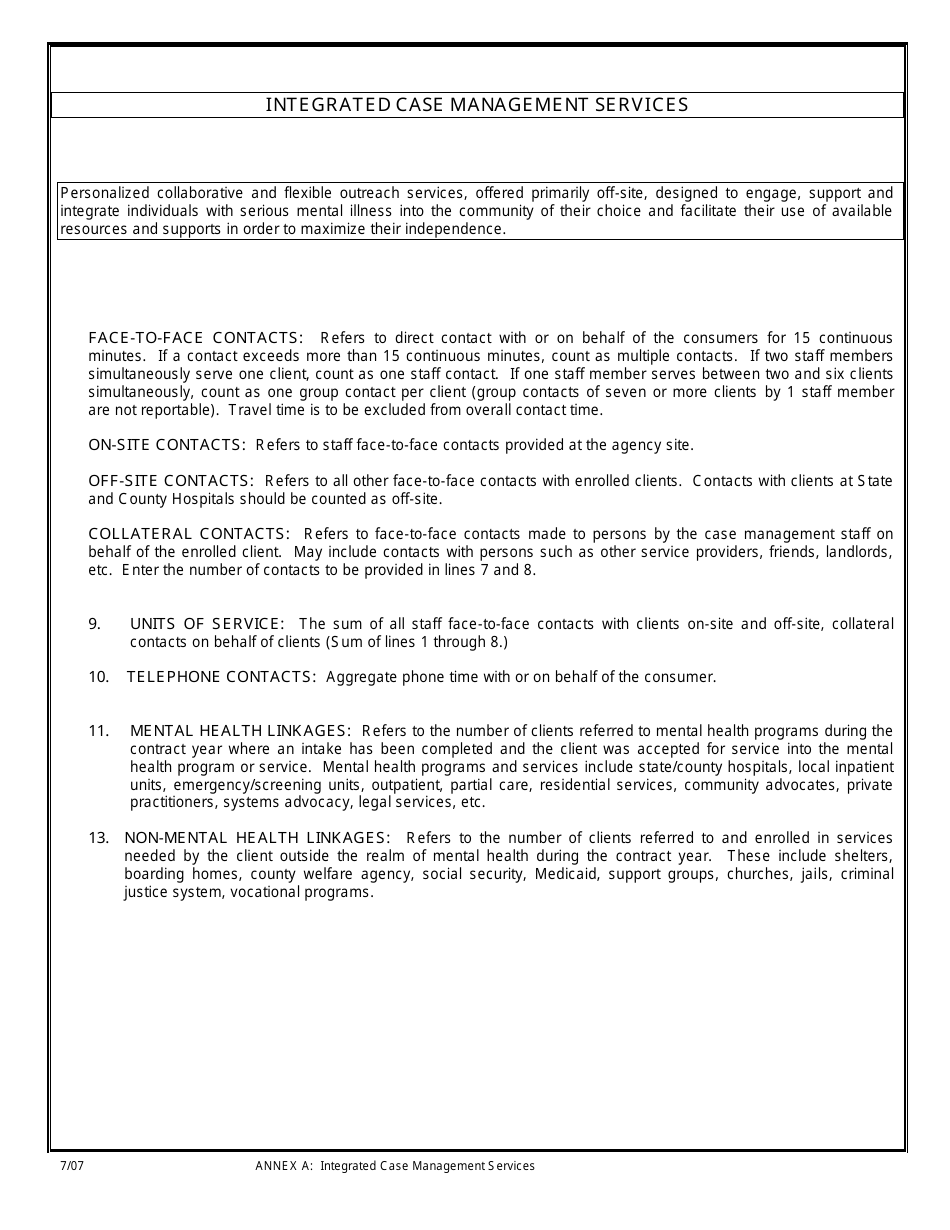
Annex A Program Commitments Integrated Case Management Services - New Jersey
Fill
PDF
Online
PDF
Word
Army
Business
Legal
Letters
Life
Real Estate
Tax
Wills
Blog
Upload
Home
Legal
United States Legal Forms
New Jersey Legal Forms
New Jersey Department of Health
Annex A Program Commitments Integrated Case Management Services - New Jersey
Annex A Program Commitments Integrated Case Management Services - New Jersey
Preview
Fill
PDF
Online
PDF
Word
Fill PDF Online
Fill out online for free
without registration or credit card
ADVERTISEMENT
Download Annex A Program Commitments Integrated Case Management Services - New Jersey
4.6
of 5
(
31 votes
)
PDF
Word
Fill PDF Online
1
2
Prev
1
2
Next
ADVERTISEMENT
Linked Topics
New Jersey Department of Health
New Jersey Legal Forms
Legal
United States Legal Forms
Preview
Fill
PDF
Online
PDF
Word
Related Documents
Annex A Program Commitments Path Program - New Jersey
Annex A Program Commitments Emergency Services - New Jersey
Annex A Program Commitments Outpatient Services - New Jersey
Annex A Program Commitments Partial Care Services - New Jersey
Annex A Program Commitments Designated Screening Services - New Jersey
Annex A Program Commitments Intensive Family Support Services - New Jersey
Annex A Program Commitments Community Advocates/P.o.s.t. Services - New Jersey
Annex A Program Commitments Mental Health Justice Involved Services - New Jersey
Annex A Program Commitments Dmhs Licensed Beds - Residential Services - New Jersey
Annex A Program Commitments Acute Care Family Support Project - New Jersey
Annex A Program Commitments Self-help Centers - New Jersey
NRC Form 356 Management Evaluation Form - Senior Executive Service (Ses) Candidate Development Program (Cdp)
Form DD2910-6 Quarterly Case Management Group (Qcmg) Meeting Notes for the Sexual Assault Prevention and Response (Sapr) Program
Client Movement Report - Integrated Case Management Services - New Jersey