Army
Business
Legal
Letters
Life
Real Estate
Tax
Wills
Blog
Upload
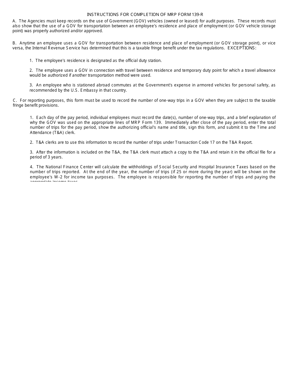
MRP Form 139-R Employee Record of Commute in Government Vehicle
Fill
PDF
Online
PDF
Word
Army
Business
Legal
Letters
Life
Real Estate
Tax
Wills
Blog
Upload
Home
Legal
United States Legal Forms
United States Federal Legal Forms
U.S. Department of Agriculture
U.S. Department of Agriculture - Animal and Plant Health Inspection Service
MRP Form 139-R Employee Record of Commute in Government Vehicle
MRP Form 139-R Employee Record of Commute in Government Vehicle
Preview
Fill
PDF
Online
PDF
Word
Fill PDF Online
Fill out online for free
without registration or credit card
ADVERTISEMENT
Download MRP Form 139-R Employee Record of Commute in Government Vehicle
4.4
of 5
(
36 votes
)
PDF
Word
Fill PDF Online
1
2
Prev
1
2
Next
ADVERTISEMENT
Linked Topics
U.S. Department of Agriculture - Animal and Plant Health Inspection Service
U.S. Department of Agriculture
United States Federal Legal Forms
Legal
United States Legal Forms
Preview
Fill
PDF
Online
PDF
Word
Related Documents
MRP Form 139 Employee Record of Commute in Government Vehicle
MRP Form 372 Employee Application for Change in Official Duty Station (Ods)
MRP Form 375 Employee Declaration of Residence for Home Leave Determinations
MRP Form 135-R Motor Vehicle Authorization
MRP Form 3052 Acknowledgment of Employee Rules of Behavior (Rob) for Government Furnished Mobile Devices
MRP Form 346 Designation of Flexible Work Schedule and Employee Tour of Duty
GSA Form 1374 Motor Vehicle Petroleum Issue Record
GSA Form 3607 Motor Vehicle Operator's License and Driving Record
AF Form 870 U.S. Government Motor Vehicle (GMV) Suspected Misuse Report
USAREC Form 700-5.3 Motor Vehicle Usage Record
SD Form 822 Departing Employee Checklist - Removal of Personal Files and Non-record Materials From Government Custody
Form AO500 Taxation for Commuting in Government - Provided Vehicle
GSA Form 2075 Quarterly Summary of Government Motor Vehicle Accidents