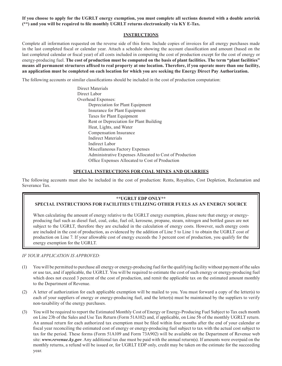
Form 51A109 Application for Energy Direct Pay Authorization - Kentucky

Notification Icon This version of the form is not currently in use and is provided for reference only. Download this version of Form 51A109 for the current year.

Form 51A109 Application for Energy Direct Pay Authorization - Kentucky

What Is Form 51A109?

This is a legal form that was released by the Kentucky Department of Revenue - a government authority operating within Kentucky. As of today, no separate filing guidelines for the form are provided by the issuing department.

FAQ

Q: What is Form 51A109?
A: Form 51A109 is the application for Energy Direct Pay Authorization in Kentucky.

Q: What is Energy Direct Pay Authorization?
A: Energy Direct Pay Authorization is a program that allows certain individuals or businesses to pay their energy bills directly to the utility company, bypassing the collection agency.

Q: Who can apply for Energy Direct Pay Authorization?
A: Individuals or businesses who have outstanding energy bills and meet certain criteria can apply for Energy Direct Pay Authorization.

Q: Are there any fees for applying for Energy Direct Pay Authorization?
A: No, there are no fees for applying for Energy Direct Pay Authorization.

ADVERTISEMENT

Form Details:

  • Released on February 1, 2011;
  • The latest edition provided by the Kentucky Department of Revenue;
  • Easy to use and ready to print;
  • Quick to customize;
  • Compatible with most PDF-viewing applications;
  • Fill out the form in our online filing application.

Download a printable version of Form 51A109 by clicking the link below or browse more documents and templates provided by the Kentucky Department of Revenue.

Download Form 51A109 Application for Energy Direct Pay Authorization - Kentucky

4.7 of 5 (10 votes)
  • Form 51A109 Application for Energy Direct Pay Authorization - Kentucky

    1

  • Form 51A109 Application for Energy Direct Pay Authorization - Kentucky, Page 2

    2

  • Form 51A109 Application for Energy Direct Pay Authorization - Kentucky, Page 1
  • Form 51A109 Application for Energy Direct Pay Authorization - Kentucky, Page 2
Prev 1 2 Next
ADVERTISEMENT

Related Documents