Form 19 Employees' Provident Funds Organisation Composite Claim Form (Non - Aadhar) - India

Form 19 Employees' Provident Funds Organisation Composite Claim Form (Non - Aadhar) - India

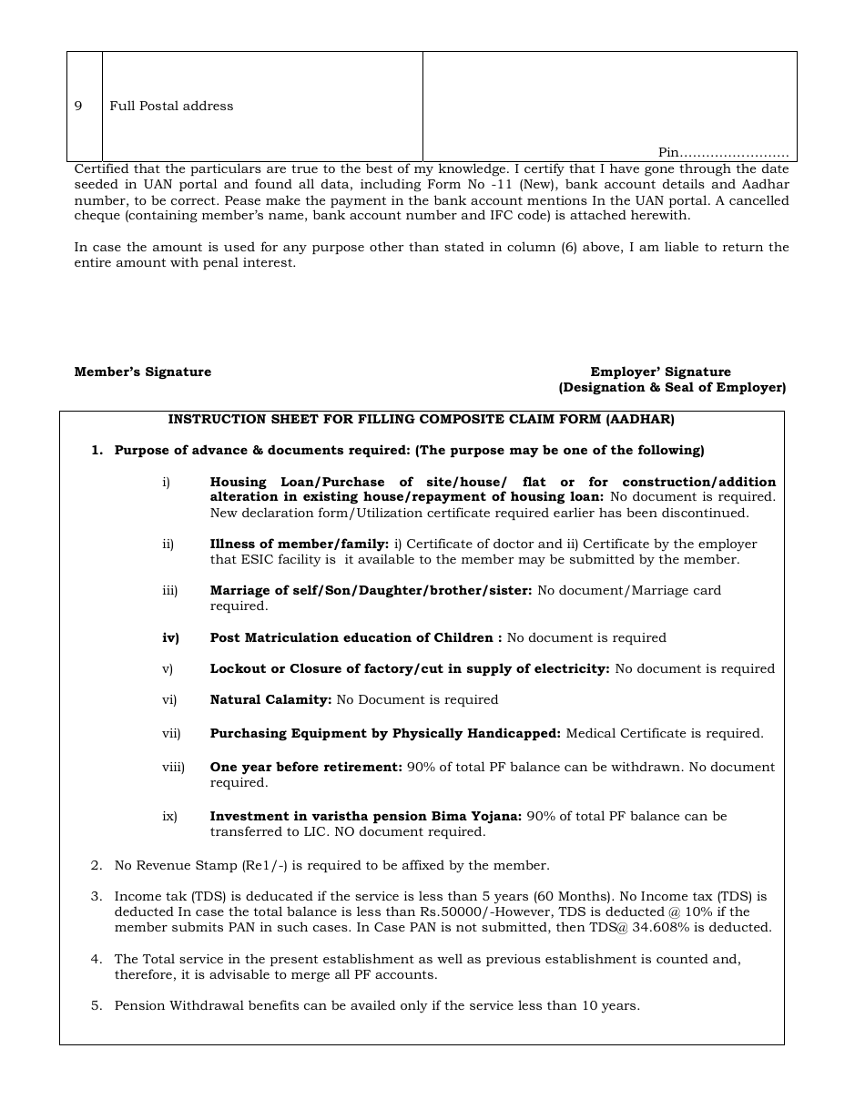
Form 19 or the "Employees' Provident Funds Organisation Composite Claim Form (non - Aadhar)" is a form issued by the Indian Ministry of Labour and Employment .

Download a PDF version of the latest Form 19 down below or find it on the Indian Ministry of Labour and Employment Forms website.

ADVERTISEMENT

Download Form 19 Employees' Provident Funds Organisation Composite Claim Form (Non - Aadhar) - India

4.6 of 5 (40 votes)
  • Form 19 Employees' Provident Funds Organisation Composite Claim Form (Non - Aadhar) - India

    1

  • Form 19 Employees' Provident Funds Organisation Composite Claim Form (Non - Aadhar) - India, Page 2

    2

  • Form 19 Employees' Provident Funds Organisation Composite Claim Form (Non - Aadhar) - India, Page 3

    3

  • Form 19 Employees Provident Funds Organisation Composite Claim Form (Non - Aadhar) - India, Page 1
  • Form 19 Employees Provident Funds Organisation Composite Claim Form (Non - Aadhar) - India, Page 2
  • Form 19 Employees Provident Funds Organisation Composite Claim Form (Non - Aadhar) - India, Page 3
Prev 1 2 3 Next
ADVERTISEMENT