Form MV-15D Motor Vehicle Record Search Logon or Debit Account Application - New York

Form MV-15D Motor Vehicle Record Search Logon or Debit Account Application - New York

What Is Form MV-15D?

This is a legal form that was released by the New York State Department of Motor Vehicles - a government authority operating within New York. As of today, no separate filing guidelines for the form are provided by the issuing department.

Form Details:

  • Released on December 1, 2019;
  • The latest edition provided by the New York State Department of Motor Vehicles;
  • Easy to use and ready to print;
  • Quick to customize;
  • Compatible with most PDF-viewing applications;
  • Fill out the form in our online filing application.

Download a fillable version of Form MV-15D by clicking the link below or browse more documents and templates provided by the New York State Department of Motor Vehicles.

ADVERTISEMENT

Other Revision

Download Form MV-15D Motor Vehicle Record Search Logon or Debit Account Application - New York

4.7 of 5 (62 votes)
  • Form MV-15D Motor Vehicle Record Search Logon or Debit Account Application - New York

    1

  • Form MV-15D Motor Vehicle Record Search Logon or Debit Account Application - New York, Page 2

    2

  • Form MV-15D Motor Vehicle Record Search Logon or Debit Account Application - New York, Page 3

    3

  • Form MV-15D Motor Vehicle Record Search Logon or Debit Account Application - New York, Page 4

    4

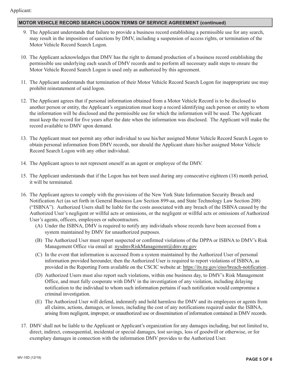
  • Form MV-15D Motor Vehicle Record Search Logon or Debit Account Application - New York, Page 5

    5

  • Form MV-15D Motor Vehicle Record Search Logon or Debit Account Application - New York, Page 6

    6

  • Form MV-15D Motor Vehicle Record Search Logon or Debit Account Application - New York, Page 1
  • Form MV-15D Motor Vehicle Record Search Logon or Debit Account Application - New York, Page 2
  • Form MV-15D Motor Vehicle Record Search Logon or Debit Account Application - New York, Page 3
  • Form MV-15D Motor Vehicle Record Search Logon or Debit Account Application - New York, Page 4
  • Form MV-15D Motor Vehicle Record Search Logon or Debit Account Application - New York, Page 5
  • Form MV-15D Motor Vehicle Record Search Logon or Debit Account Application - New York, Page 6
Prev 1 2 3 4 5 6 Next
ADVERTISEMENT