Form F3 Notice of Family Claim - British Columbia, Canada

Form F3 Notice of Family Claim - British Columbia, Canada

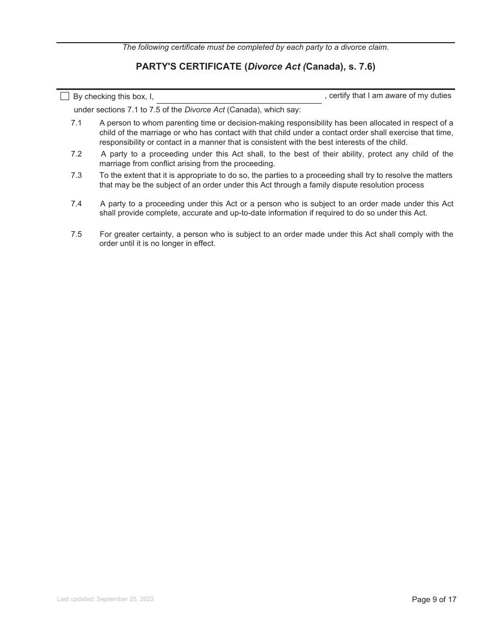
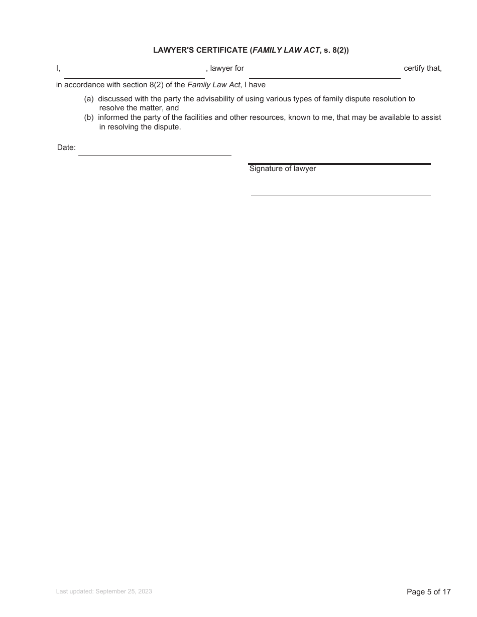
Form F3 Notice of Family Claim in British Columbia, Canada is used in family law cases to initiate a legal claim related to matters such as divorce, child custody, child support, spousal support, and property division. It is a document that must be completed and filed with the court to formally start a family law case in British Columbia.

In British Columbia, Canada, the Form F3 Notice of Family Claim is usually filed by individuals who are initiating a family law case. This form is typically filed by a person who is seeking a resolution or addressing various family law matters such as child custody, child support, spousal support, and division of property. The specific individual who files the Form F3 will vary depending on the circumstances of the case, but it is typically filed by one of the parties involved in the family law dispute.

Form F3 Notice of Family Claim - British Columbia, Canada - Frequently Asked Questions (FAQ)

Q: What is Form F3 Notice of Family Claim?
A:
Form F3 Notice of Family Claim is a legal document used in British Columbia, Canada, to initiate a family law case by outlining the details of the claim being made.

Q: Who needs to file Form F3 Notice of Family Claim?
A:
Form F3 Notice of Family Claim needs to be filed by anyone who wishes to start a family law case in British Columbia.

Q: What information is required in Form F3 Notice of Family Claim?
A:
Form F3 Notice of Family Claim requires information about the parties involved, the nature of the claim being made, and other relevant details such as child custody, support, and division of property.

Q: Is there a deadline for filing Form F3 Notice of Family Claim?
A:
Yes, there is a deadline for filing Form F3 Notice of Family Claim. It must be filed within a certain timeframe from the date of separation or any other triggering event, as specified by the family law rules in British Columbia.

Q: Do I need legal assistance to fill out Form F3 Notice of Family Claim?
A:
While it is not mandatory to seek legal assistance, it is recommended to consult with a family law lawyer to ensure the proper completion of Form F3 Notice of Family Claim.

Q: What happens after I file Form F3 Notice of Family Claim?
A:
After filing Form F3 Notice of Family Claim, the court will review the claim and initiate the legal process for resolving the family law issues raised in the claim. This may involve court hearings, negotiations, or alternative dispute resolution methods.

Q: Are there any fees associated with filing Form F3 Notice of Family Claim?
A:
Yes, there are fees associated with filing Form F3 Notice of Family Claim. The specific fees vary depending on the nature of the claim and the court where it is being filed. Fee waivers may be available for individuals who meet certain criteria.

Q: Can Form F3 Notice of Family Claim be amended or revised?
A:
Yes, Form F3 Notice of Family Claim can be amended or revised. If there are changes to the information or claims made in the original form, a revised form must be filed with the court and served on all relevant parties.

ADVERTISEMENT

Other Revisions

Download Form F3 Notice of Family Claim - British Columbia, Canada

4.6 of 5 (103 votes)
  • Form F3 Notice of Family Claim - British Columbia, Canada

    1

  • Form F3 Notice of Family Claim - British Columbia, Canada, Page 2

    2

  • Form F3 Notice of Family Claim - British Columbia, Canada, Page 3

    3

  • Form F3 Notice of Family Claim - British Columbia, Canada, Page 4

    4

  • Form F3 Notice of Family Claim - British Columbia, Canada, Page 5

    5

  • Form F3 Notice of Family Claim - British Columbia, Canada, Page 6

    6

  • Form F3 Notice of Family Claim - British Columbia, Canada, Page 7

    7

  • Form F3 Notice of Family Claim - British Columbia, Canada, Page 8

    8

  • Form F3 Notice of Family Claim - British Columbia, Canada, Page 9

    9

  • Form F3 Notice of Family Claim - British Columbia, Canada, Page 10

    10

  • Form F3 Notice of Family Claim - British Columbia, Canada, Page 11

    11

  • Form F3 Notice of Family Claim - British Columbia, Canada, Page 12

    12

  • Form F3 Notice of Family Claim - British Columbia, Canada, Page 13

    13

  • Form F3 Notice of Family Claim - British Columbia, Canada, Page 14

    14

  • Form F3 Notice of Family Claim - British Columbia, Canada, Page 15

    15

  • Form F3 Notice of Family Claim - British Columbia, Canada, Page 16

    16

  • Form F3 Notice of Family Claim - British Columbia, Canada, Page 17

    17

  • Form F3 Notice of Family Claim - British Columbia, Canada, Page 1
  • Form F3 Notice of Family Claim - British Columbia, Canada, Page 2
  • Form F3 Notice of Family Claim - British Columbia, Canada, Page 3
  • Form F3 Notice of Family Claim - British Columbia, Canada, Page 4
  • Form F3 Notice of Family Claim - British Columbia, Canada, Page 5
  • Form F3 Notice of Family Claim - British Columbia, Canada, Page 6
  • Form F3 Notice of Family Claim - British Columbia, Canada, Page 7
  • Form F3 Notice of Family Claim - British Columbia, Canada, Page 8
  • Form F3 Notice of Family Claim - British Columbia, Canada, Page 9
  • Form F3 Notice of Family Claim - British Columbia, Canada, Page 10
  • Form F3 Notice of Family Claim - British Columbia, Canada, Page 11
  • Form F3 Notice of Family Claim - British Columbia, Canada, Page 12
  • Form F3 Notice of Family Claim - British Columbia, Canada, Page 13
  • Form F3 Notice of Family Claim - British Columbia, Canada, Page 14
  • Form F3 Notice of Family Claim - British Columbia, Canada, Page 15
  • Form F3 Notice of Family Claim - British Columbia, Canada, Page 16
  • Form F3 Notice of Family Claim - British Columbia, Canada, Page 17
Prev 1 2 3 4 5 ... 17 Next
ADVERTISEMENT

Related Documents