Form AOC-J-343 Juvenile Order - Probable Cause Hearing - North Carolina (English / Vietnamese)

Form AOC-J-343 Juvenile Order - Probable Cause Hearing - North Carolina (English / Vietnamese)

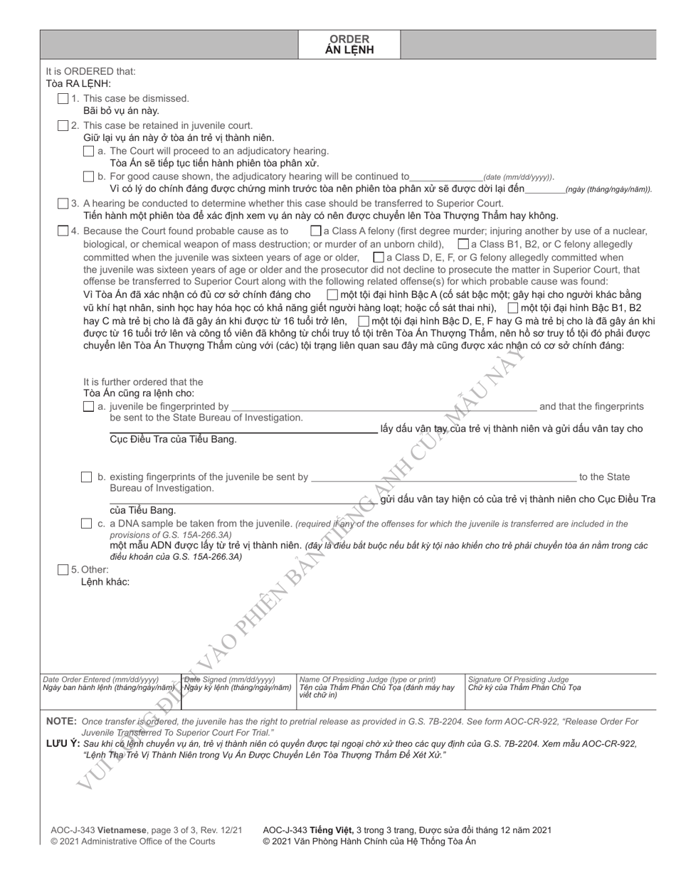
What Is Form AOC-J-343?

This is a legal form that was released by the North Carolina District Court - a government authority operating within North Carolina. As of today, no separate filing guidelines for the form are provided by the issuing department.

Form Details:

  • Released on December 1, 2021;
  • The latest edition provided by the North Carolina District Court;
  • Easy to use and ready to print;
  • Available in Vietnamese;
  • Quick to customize;
  • Compatible with most PDF-viewing applications;
  • Fill out the form in our online filing application.

Download a printable version of Form AOC-J-343 by clicking the link below or browse more documents and templates provided by the North Carolina District Court.

ADVERTISEMENT

Other Revision

Download Form AOC-J-343 Juvenile Order - Probable Cause Hearing - North Carolina (English / Vietnamese)

4.4 of 5 (34 votes)
  • Form AOC-J-343 Juvenile Order - Probable Cause Hearing - North Carolina (English/Vietnamese)

    1

  • Form AOC-J-343 Juvenile Order - Probable Cause Hearing - North Carolina (English/Vietnamese), Page 2

    2

  • Form AOC-J-343 Juvenile Order - Probable Cause Hearing - North Carolina (English/Vietnamese), Page 3

    3

  • Form AOC-J-343 Juvenile Order - Probable Cause Hearing - North Carolina (English / Vietnamese), Page 1
  • Form AOC-J-343 Juvenile Order - Probable Cause Hearing - North Carolina (English / Vietnamese), Page 2
  • Form AOC-J-343 Juvenile Order - Probable Cause Hearing - North Carolina (English / Vietnamese), Page 3
Prev 1 2 3 Next
ADVERTISEMENT

Related Documents