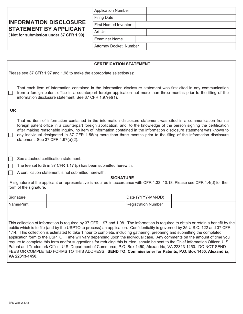
Form PTO / SB / 08A Information Disclosure Statement by Applicant

Form PTO / SB / 08A Information Disclosure Statement by Applicant

What Is Form PTO/SB/08A?

This is a legal form that was released by the U.S. Department of Commerce - Patent and Trademark Office on January 1, 2022 and used country-wide. As of today, no separate filing guidelines for the form are provided by the issuing department.

Form Details:

  • Released on January 1, 2022;
  • The latest available edition released by the U.S. Department of Commerce - Patent and Trademark Office;
  • Easy to use and ready to print;
  • Yours to fill out and keep for your records;
  • Compatible with most PDF-viewing applications;
  • Fill out the form in our online filing application.

Download a fillable version of Form PTO/SB/08A by clicking the link below or browse more documents and templates provided by the U.S. Department of Commerce - Patent and Trademark Office.

ADVERTISEMENT

Other Revision

Download Form PTO / SB / 08A Information Disclosure Statement by Applicant

4.6 of 5 (20 votes)
  • Form PTO/SB/08A Information Disclosure Statement by Applicant

    1

  • Form PTO/SB/08A Information Disclosure Statement by Applicant, Page 2

    2

  • Form PTO/SB/08A Information Disclosure Statement by Applicant, Page 3

    3

  • Form PTO/SB/08A Information Disclosure Statement by Applicant, Page 4

    4

  • Form PTO / SB / 08A Information Disclosure Statement by Applicant, Page 1
  • Form PTO / SB / 08A Information Disclosure Statement by Applicant, Page 2
  • Form PTO / SB / 08A Information Disclosure Statement by Applicant, Page 3
  • Form PTO / SB / 08A Information Disclosure Statement by Applicant, Page 4
Prev 1 2 3 4 Next
ADVERTISEMENT

Related Documents