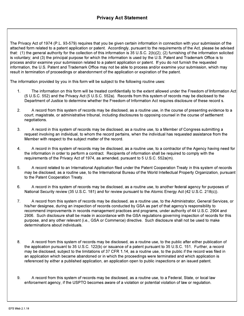
Form PTO / SB / 08A EFS-WEB Information Disclosure Statement by Applicant (Not for Submission Under 37 Cfr 1.99)

Form PTO / SB / 08A EFS-WEB Information Disclosure Statement by Applicant (Not for Submission Under 37 Cfr 1.99)

What Is Form PTO/SB/08A EFS-WEB?

This is a legal form that was released by the U.S. Department of Commerce - Patent and Trademark Office on February 1, 2018 and used country-wide. As of today, no separate filing guidelines for the form are provided by the issuing department.

FAQ

Q: What is Form PTO/SB/08A?
A: Form PTO/SB/08A is a form used by applicants to provide an Information Disclosure Statement to the United States Patent and Trademark Office (USPTO).

Q: What is an Information Disclosure Statement?
A: An Information Disclosure Statement (IDS) is a document submitted by an applicant to the USPTO to disclose any prior art or related information that may be relevant to the patentability of their invention.

Q: What is the purpose of Form PTO/SB/08A?
A: The purpose of Form PTO/SB/08A is to provide the USPTO with an IDS, disclosing any prior art or related information that may be relevant to the patentability of the invention.

Q: Can Form PTO/SB/08A be submitted under 37 Cfr 1.99?
A: No, Form PTO/SB/08A is not for submission under 37 Cfr 1.99. It is used by the applicant to provide information but not for the purpose of complying with 37 Cfr 1.99.

Q: Who can use Form PTO/SB/08A?
A: Form PTO/SB/08A can be used by any applicant who wishes to provide an Information Disclosure Statement to the USPTO.

ADVERTISEMENT

Form Details:

  • Released on February 1, 2018;
  • The latest available edition released by the U.S. Department of Commerce - Patent and Trademark Office;
  • Easy to use and ready to print;
  • Yours to fill out and keep for your records;
  • Compatible with most PDF-viewing applications;
  • Fill out the form in our online filing application.

Download a fillable version of Form PTO/SB/08A EFS-WEB by clicking the link below or browse more documents and templates provided by the U.S. Department of Commerce - Patent and Trademark Office.

Download Form PTO / SB / 08A EFS-WEB Information Disclosure Statement by Applicant (Not for Submission Under 37 Cfr 1.99)

4.6 of 5 (25 votes)
  • Form PTO/SB/08A EFS-WEB Information Disclosure Statement by Applicant (Not for Submission Under 37 Cfr 1.99)

    1

  • Form PTO/SB/08A EFS-WEB Information Disclosure Statement by Applicant (Not for Submission Under 37 Cfr 1.99), Page 2

    2

  • Form PTO/SB/08A EFS-WEB Information Disclosure Statement by Applicant (Not for Submission Under 37 Cfr 1.99), Page 3

    3

  • Form PTO/SB/08A EFS-WEB Information Disclosure Statement by Applicant (Not for Submission Under 37 Cfr 1.99), Page 4

    4

  • Form PTO / SB / 08A EFS-WEB Information Disclosure Statement by Applicant (Not for Submission Under 37 Cfr 1.99), Page 1
  • Form PTO / SB / 08A EFS-WEB Information Disclosure Statement by Applicant (Not for Submission Under 37 Cfr 1.99), Page 2
  • Form PTO / SB / 08A EFS-WEB Information Disclosure Statement by Applicant (Not for Submission Under 37 Cfr 1.99), Page 3
  • Form PTO / SB / 08A EFS-WEB Information Disclosure Statement by Applicant (Not for Submission Under 37 Cfr 1.99), Page 4
Prev 1 2 3 4 Next
ADVERTISEMENT