Form CC232 Statement of Withdrawal From Partnership Operating Under Fictitious Business Name - County of San Diego, California

Form CC232 Statement of Withdrawal From Partnership Operating Under Fictitious Business Name - County of San Diego, California

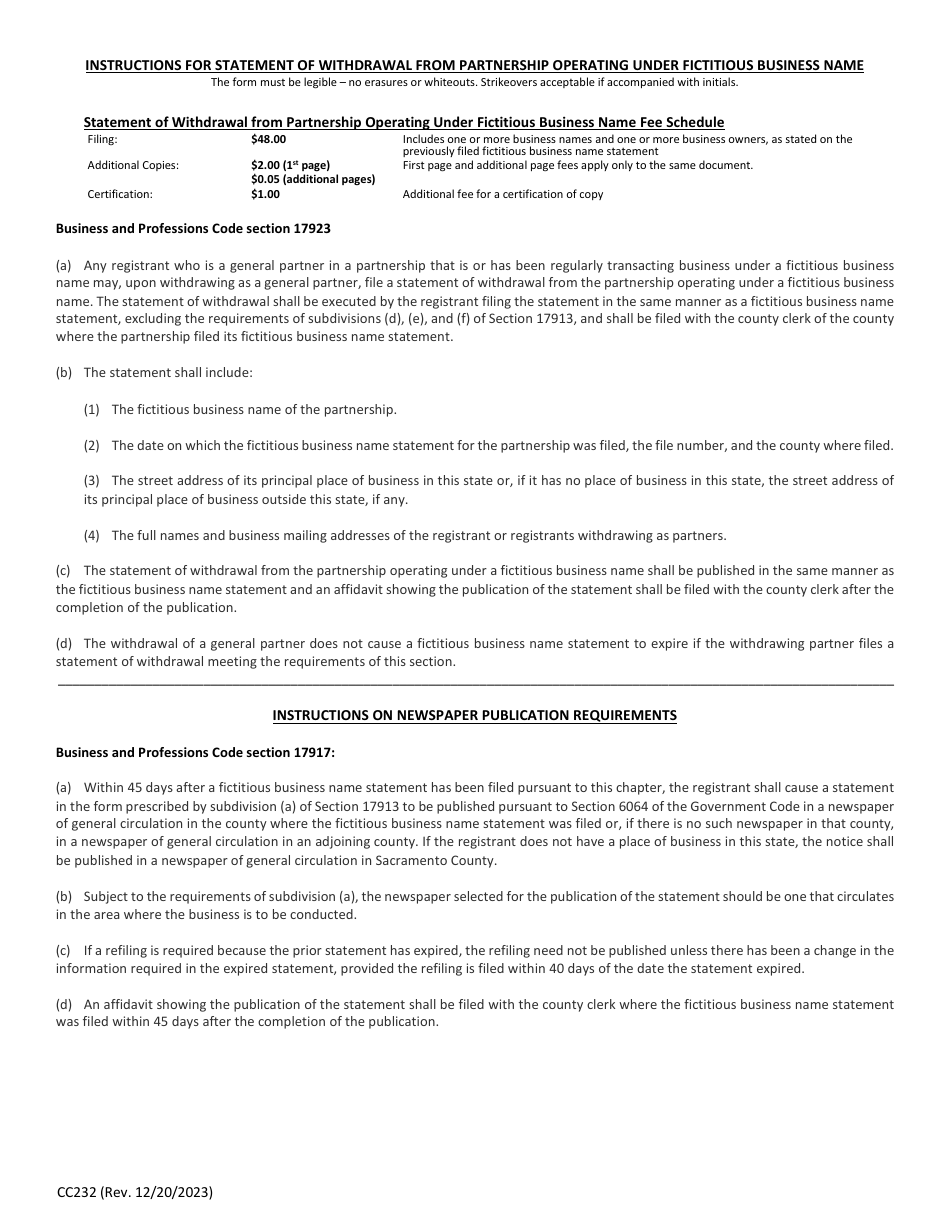
What Is Form CC232?

This is a legal form that was released by the Assessor, Recorder, County Clerk's Office - County of San Diego, California - a government authority operating within California. The form may be used strictly within County of San Diego. As of today, no separate filing guidelines for the form are provided by the issuing department.

Form Details:

  • Released on January 3, 2023;
  • The latest edition provided by the Assessor, Recorder, County Clerk's Office - County of San Diego, California;
  • Easy to use and ready to print;
  • Quick to customize;
  • Compatible with most PDF-viewing applications;
  • Fill out the form in our online filing application.

Download a printable version of Form CC232 by clicking the link below or browse more documents and templates provided by the Assessor, Recorder, County Clerk's Office - County of San Diego, California.

ADVERTISEMENT

Other Revisions

Download Form CC232 Statement of Withdrawal From Partnership Operating Under Fictitious Business Name - County of San Diego, California

4.5 of 5 (42 votes)
  • Form CC232 Statement of Withdrawal From Partnership Operating Under Fictitious Business Name - County of San Diego, California

    1

  • Form CC232 Statement of Withdrawal From Partnership Operating Under Fictitious Business Name - County of San Diego, California, Page 2

    2

  • Form CC232 Statement of Withdrawal From Partnership Operating Under Fictitious Business Name - County of San Diego, California, Page 1
  • Form CC232 Statement of Withdrawal From Partnership Operating Under Fictitious Business Name - County of San Diego, California, Page 2
Prev 1 2 Next
ADVERTISEMENT

Related Documents