Form HS-2779 Child Care Fingerprint Sample Registration / Criminal / Juvenile History & State Registry Review Disclosure - Tennessee

Form HS-2779 Child Care Fingerprint Sample Registration / Criminal / Juvenile History & State Registry Review Disclosure - Tennessee

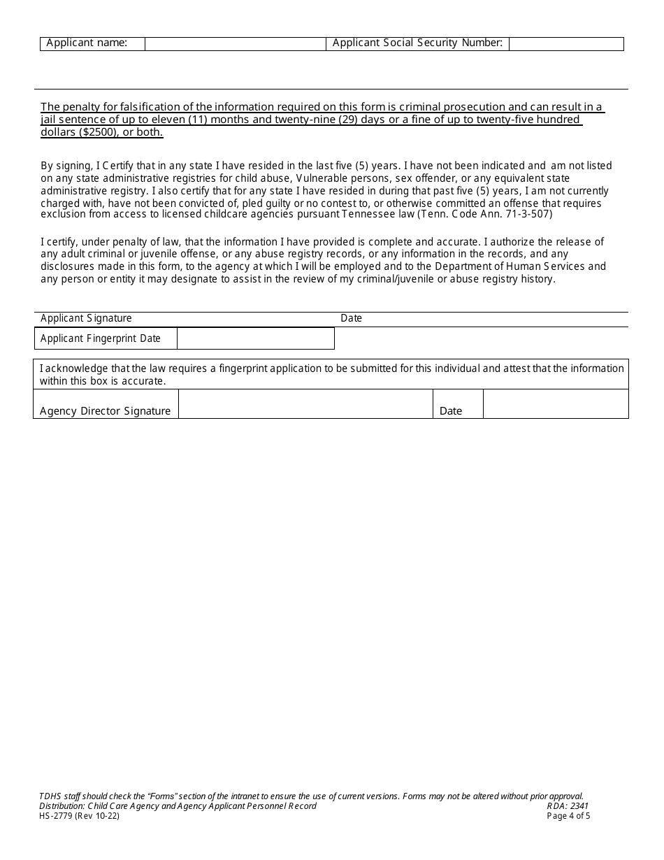
What Is Form HS-2779?

This is a legal form that was released by the Tennessee Department of Human Services - a government authority operating within Tennessee. As of today, no separate filing guidelines for the form are provided by the issuing department.

Form Details:

  • Released on October 1, 2022;
  • The latest edition provided by the Tennessee Department of Human Services;
  • Easy to use and ready to print;
  • Quick to customize;
  • Compatible with most PDF-viewing applications;
  • Fill out the form in our online filing application.

Download a fillable version of Form HS-2779 by clicking the link below or browse more documents and templates provided by the Tennessee Department of Human Services.

ADVERTISEMENT

Other Revision

Download Form HS-2779 Child Care Fingerprint Sample Registration / Criminal / Juvenile History & State Registry Review Disclosure - Tennessee

4.7 of 5 (38 votes)
  • Form HS-2779 Child Care Fingerprint Sample Registration/Criminal/Juvenile History & State Registry Review Disclosure - Tennessee

    1

  • Form HS-2779 Child Care Fingerprint Sample Registration/Criminal/Juvenile History & State Registry Review Disclosure - Tennessee, Page 2

    2

  • Form HS-2779 Child Care Fingerprint Sample Registration/Criminal/Juvenile History & State Registry Review Disclosure - Tennessee, Page 3

    3

  • Form HS-2779 Child Care Fingerprint Sample Registration/Criminal/Juvenile History & State Registry Review Disclosure - Tennessee, Page 4

    4

  • Form HS-2779 Child Care Fingerprint Sample Registration/Criminal/Juvenile History & State Registry Review Disclosure - Tennessee, Page 5

    5

  • Form HS-2779 Child Care Fingerprint Sample Registration / Criminal / Juvenile History  State Registry Review Disclosure - Tennessee, Page 1
  • Form HS-2779 Child Care Fingerprint Sample Registration / Criminal / Juvenile History  State Registry Review Disclosure - Tennessee, Page 2
  • Form HS-2779 Child Care Fingerprint Sample Registration / Criminal / Juvenile History  State Registry Review Disclosure - Tennessee, Page 3
  • Form HS-2779 Child Care Fingerprint Sample Registration / Criminal / Juvenile History  State Registry Review Disclosure - Tennessee, Page 4
  • Form HS-2779 Child Care Fingerprint Sample Registration / Criminal / Juvenile History  State Registry Review Disclosure - Tennessee, Page 5
Prev 1 2 3 4 5 Next
ADVERTISEMENT